Free Access

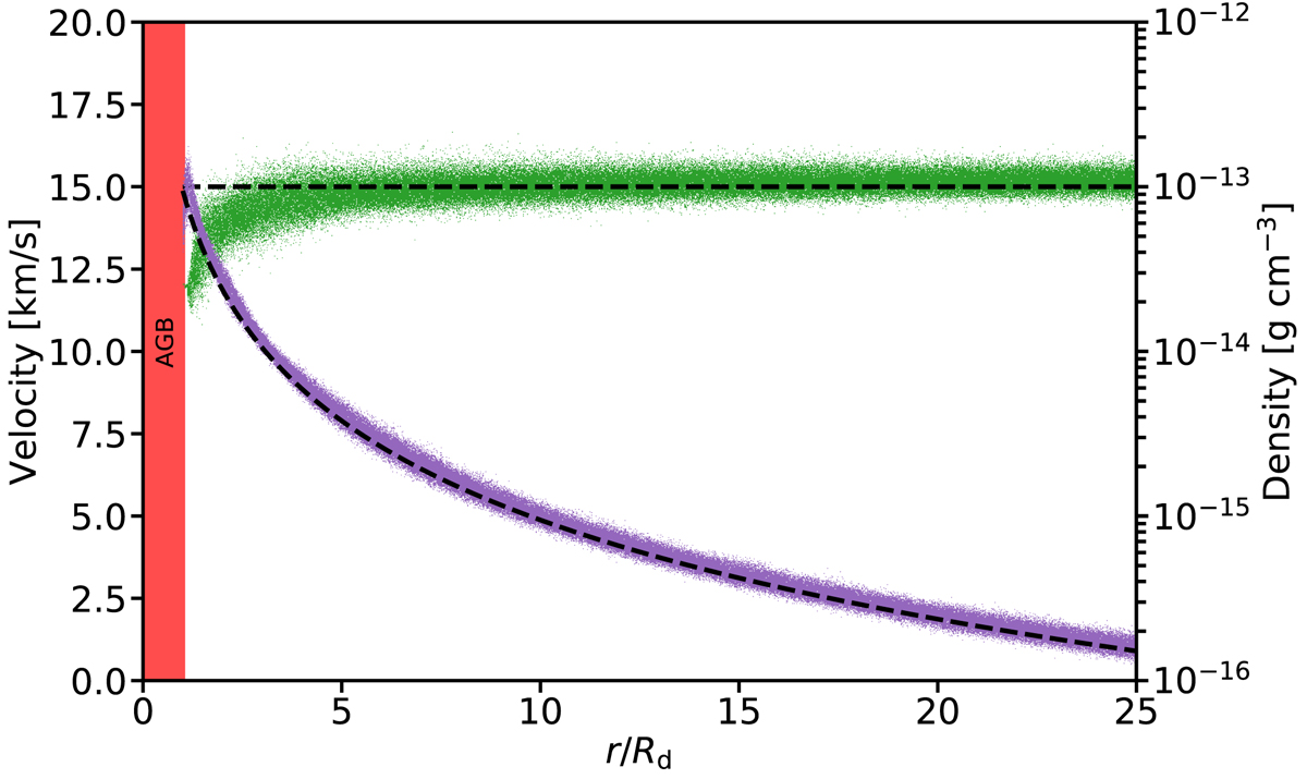
Fig. 1.

image

Velocity and density profiles of the SPH gas particles leaving a single star with vinit = 12 km s−1. The top dashed line corresponds to a constant velocity of 15.1 km s−1. The lower dashed line is the corresponding analytical density in a steady state. The red rectangle delimits the inner boundary of the SPH particles around the donor star.

Current usage metrics show cumulative count of Article Views (full-text article views including HTML views, PDF and ePub downloads, according to the available data) and Abstracts Views on Vision4Press platform.

Data correspond to usage on the plateform after 2015. The current usage metrics is available 48-96 hours after online publication and is updated daily on week days.

Initial download of the metrics may take a while.