Free Access

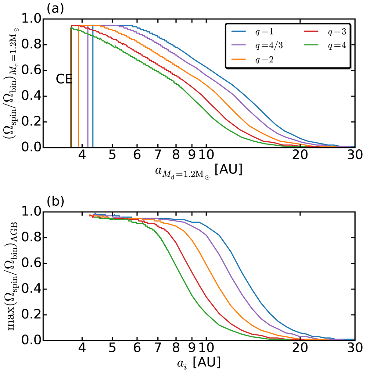
Fig. D.1.

image

Panel a: Ωspinbin as a function of the semi-major axis at the time the AGB star has stellar parameters as in Table 1. The coloured lines represent different mass ratios. The region where the vertical lines start corresponds to orbital separations for which the binary system had gone into a common envelope at the time we computed the binary parameters. Panel b: maximum Ωspinbin as a function of the initial orbital separation of the system. Colours represent equivalent mass ratios.

Current usage metrics show cumulative count of Article Views (full-text article views including HTML views, PDF and ePub downloads, according to the available data) and Abstracts Views on Vision4Press platform.

Data correspond to usage on the plateform after 2015. The current usage metrics is available 48-96 hours after online publication and is updated daily on week days.

Initial download of the metrics may take a while.