Free Access

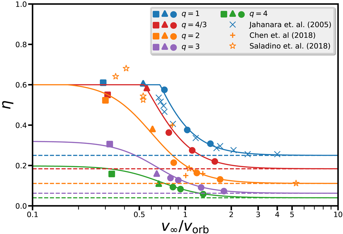
Fig. 6.

image

Orbital angular-momentum loss in units of J/μ as a function of v/vorb for models assumed to be non-rotating. Colours represent equivalent mass ratios. Dashed lines show the value of ηiso for different mass ratios. Filled circles correspond to models in which v = 15.1 km s−1, triangles to models where v = 10.9 km s−1, and squares to models where v = 6 km s−1. The solid lines correspond to Eq. (7) for different mass ratios.

Current usage metrics show cumulative count of Article Views (full-text article views including HTML views, PDF and ePub downloads, according to the available data) and Abstracts Views on Vision4Press platform.

Data correspond to usage on the plateform after 2015. The current usage metrics is available 48-96 hours after online publication and is updated daily on week days.

Initial download of the metrics may take a while.