Free Access

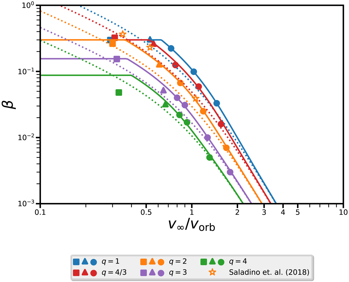
Fig. 8.

image

Mass-accretion efficiency for the non-rotating models. Colours represent equivalent mass ratios. Circles correspond to models where v = 15.1 km s−1, triangles to models where v = 10.9 km s−1, and squares to models where v = 6 km s−1. The dotted lines correspond to the values predicted by BHL as given by Eq. (10) assuming αBHL = 0.75. Continuous lines correspond to the fit given by Eq. (11).

Current usage metrics show cumulative count of Article Views (full-text article views including HTML views, PDF and ePub downloads, according to the available data) and Abstracts Views on Vision4Press platform.

Data correspond to usage on the plateform after 2015. The current usage metrics is available 48-96 hours after online publication and is updated daily on week days.

Initial download of the metrics may take a while.