Free Access

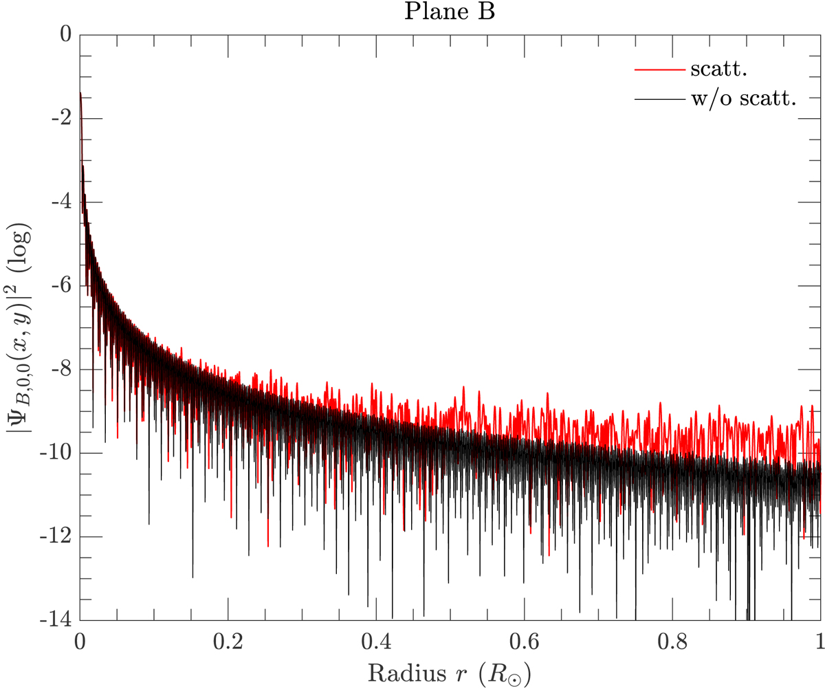
Fig. 5.

image

Radial cut of the PSF |ΨB, 0, 0(r)|2 in plane B, in logarithmic scale. The radius r is given in units of R. In red we show the PSF with speckles, due to scattering in plane A (σr = 21 nm). In black we show the ideal PSF.

Current usage metrics show cumulative count of Article Views (full-text article views including HTML views, PDF and ePub downloads, according to the available data) and Abstracts Views on Vision4Press platform.

Data correspond to usage on the plateform after 2015. The current usage metrics is available 48-96 hours after online publication and is updated daily on week days.

Initial download of the metrics may take a while.