Free Access

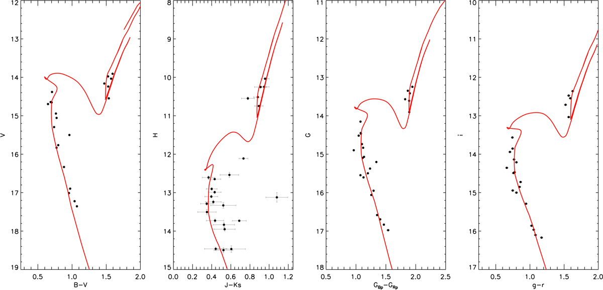
Fig. 5.

image

Comparison between the Pisa best isochrone (corresponding to Myr, mag and mag) and the observations in several photometric bands, namely BV (Piatti et al. 1998), JHKs (2MASS), GBPGRPG (Gaia DR2), and gri (VPHAS+). The uncertainties in magnitude and colour are too small to show on the two right-most diagrams. No uncertainties were available for the BV photometry.

Current usage metrics show cumulative count of Article Views (full-text article views including HTML views, PDF and ePub downloads, according to the available data) and Abstracts Views on Vision4Press platform.

Data correspond to usage on the plateform after 2015. The current usage metrics is available 48-96 hours after online publication and is updated daily on week days.

Initial download of the metrics may take a while.