Free Access

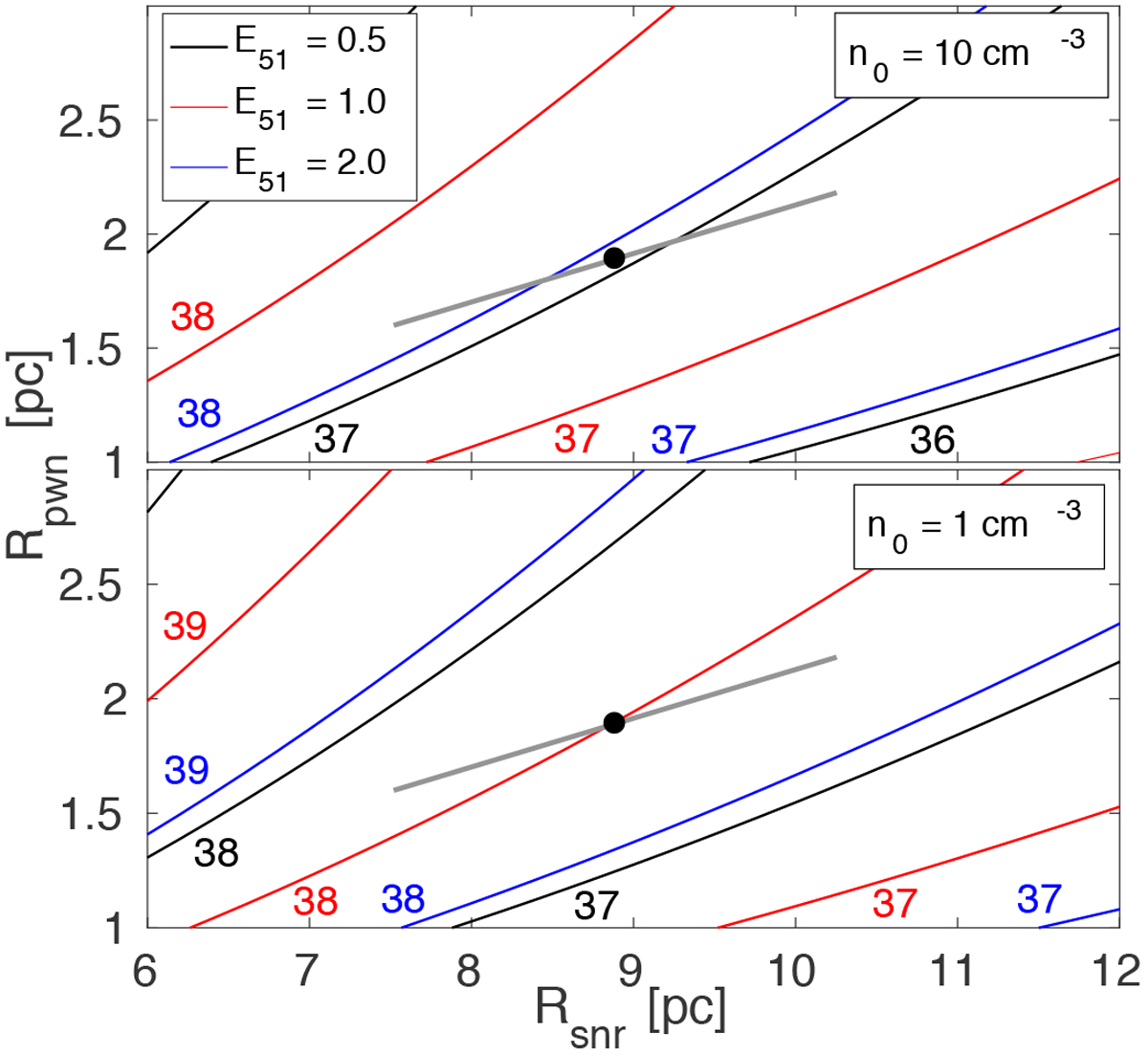
Fig. 13

image

Radius of the PWN (Rpwn) with respect to the evolutionary state of a Sedov SNR, given by the radius of the forward shock Rsnr (Eq. (4)). We show the results for n0 = 10 (top) and 1 cm−3 (bottom). The number next to each curve is log(Ė), i.e., the spin-down energy of the powering pulsar. The filled circle is the size of the SNR and the PWN G29.4+0.1 for a distance of 6.5 kpc, while the dotted line gives Rsnr and Rpwn for the distance range between 5.5 and 7.5 kpc.

Current usage metrics show cumulative count of Article Views (full-text article views including HTML views, PDF and ePub downloads, according to the available data) and Abstracts Views on Vision4Press platform.

Data correspond to usage on the plateform after 2015. The current usage metrics is available 48-96 hours after online publication and is updated daily on week days.

Initial download of the metrics may take a while.