Free Access

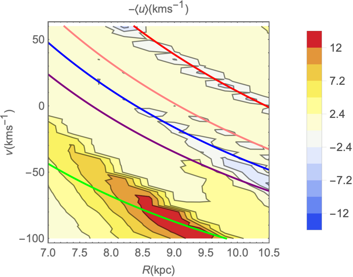
Fig. 6.

image

Mean −⟨u⟩ velocity (see colour bar) predicted by the analytical model in the (R, v) space, for stars aligned with the Sun and the Galactic centre (i.e. at the solar azimuth). The bins are ΔR = 0.4 kpc and Δv = 5 km s−1. The coloured lines correspond to the positions in this space of the OLR (red), 3:1 (pink), 4:1 (blue), 6:1 (purple), and CR (green). The velocity −⟨u⟩ was chosen to facilitate the qualitative visual comparison with the figures in Laporte et al. (2019) and Fragkoudi et al. (2019).

Current usage metrics show cumulative count of Article Views (full-text article views including HTML views, PDF and ePub downloads, according to the available data) and Abstracts Views on Vision4Press platform.

Data correspond to usage on the plateform after 2015. The current usage metrics is available 48-96 hours after online publication and is updated daily on week days.

Initial download of the metrics may take a while.