Free Access

Fig. 2

image

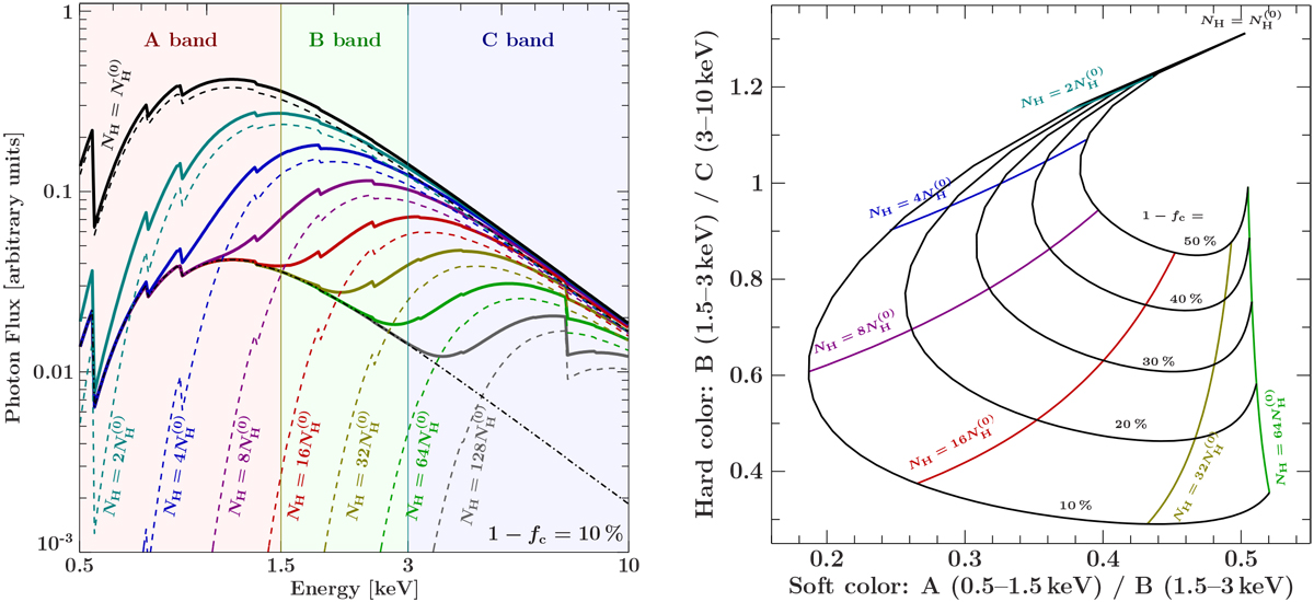
Left panel: effect of partial absorption with increasing NH at constant covering fraction with after Paper I. Right panel: color–color diagram showing the tracks for different covering fractions and column densities of the second absorber. See text for details.

Current usage metrics show cumulative count of Article Views (full-text article views including HTML views, PDF and ePub downloads, according to the available data) and Abstracts Views on Vision4Press platform.

Data correspond to usage on the plateform after 2015. The current usage metrics is available 48-96 hours after online publication and is updated daily on week days.

Initial download of the metrics may take a while.