Free Access
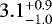
Table 7
Column densities as calculated from the sulfur line equivalent widths.
| NH-like | NHe-like | NLi-like | NBe-like | NB-like | NC-like | NN-like | NO-like | NS | NH,Wilms | NH,Herrero (a) | ||
|---|---|---|---|---|---|---|---|---|---|---|---|---|
| (1015 cm −2) | (1015 cm−2) | (1021 cm−2) | (1021 cm−2) | |||||||||
| 3814 | Non-dip | 47 ± 8 | 18 ± 4 | 2.2 ± 1.6 | 0.9 ± 0.6 | 0.9 ± 0.5 | 1.5 ± 0.5 | – | – | 71 ± 18 | 2.0 ± 0.5 | 0.79 ± 0.19 |
| Weak dip | 43 ± 17 | 20 ± 8 | 5 ± 4 | – | 1.6 ± 1.0 | 1.6 ± 1.1 | – | 70 ± 40 | 2.1 ± 1.1 | 0.8 ± 0.5 | ||
| Dip | 64 ± 14 | 30 ± 7 | 5.8 ± 2.9 | 2.2 ± 1.1 | 2.3 ± 0.9 | 3.9 ± 1.9 | – | 110 ± 40 | 3.1 ± 0.9 | 1.2 ± 0.4 | ||
| Strong dip | 36 ± 15 | 8 ± 8 | – | 1.5 ± 1.2 | 4.9 ± 0.9 | 3.7 ± 2.0 | – | 60 ± 40 | 1.6 ± 1.0 | 0.6 ± 0.4 | ||
| 8525 | Non-dip | 55 ± 16 | 33 ± 7 | – | 1.5 ± 1.1 | 2.1 ± 1.0 | 2.4 ± 0.9 | – | – | 90 ± 40 | 2.8 ± 1.0 | 1.0 ± 0.4 |
| Weak dip | 68 ± 17 | 26 ± 8 | 6 ± 4 | 2.1 ± 1.2 | 4.6 ± 0.9 | 2.7 ± 1.0 | – | – | 110 ± 40 | 3.1 ± 1.1 | 1.2 ± 0.5 | |
| Dip | 53 ± 16 | 24 ± 8 | 2.6 ± 1.1 | 3.9 ± 0.9 | 4.4 ± 0.9 | – | 100 ± 40 | 2.9 ± 1.1 | 1.1 ± 0.4 | |||
| Strong dip | 21 ± 8 | – | – | 2.1 ± 1.0 | 4.0 ± 1.0 | – | 70 ± 40 | 2.1 ± 1.1 | 0.8 ± 0.4 | |||
| 9847 | Non-dip | 56 ± 14 | 14 ± 8 | – | 1.5 ± 1.1 | 1.2 ± 0.9 | 1.5 ± 0.9 | – | – | 70 ± 40 | 2.1 ± 0.9 | 0.8 ± 0.4 |
| Weak dip | – | 33 ± 9 | – | 3.2 ± 1.3 | 4.0 ± 1.1 | 3.4 ± 1.1 | – | – | 44 ± 19 | 1.2 ± 0.6 | 0.49 ± 0.21 | |
| Dip | – | 3.6 ± 1.3 | 3.8 ± 1.1 | 5.2 ± 1.0 | 5.8 ± 2.1 | – | 90 ± 50 | 2.5 ± 1.2 | 1.0 ± 0.5 | |||
| Strong dip | 42 ± 19 | 11 ± 10 | 4 ± 4 | 3.6 ± 1.3 | 5.5 ± 1.0 | 5.1 ± 1.1 | 7.1 ± 2.2 | 8 ± 6 | 90 ± 50 | 2.5 ± 1.3 | 1.0 ± 0.5 | |
Notes. (a) Herrero et al. (1995) provide a scaling factor for the observed overabundance of helium, which we apply to the solar abundances of Wilms et al. (2000). See text for further details.
Current usage metrics show cumulative count of Article Views (full-text article views including HTML views, PDF and ePub downloads, according to the available data) and Abstracts Views on Vision4Press platform.
Data correspond to usage on the plateform after 2015. The current usage metrics is available 48-96 hours after online publication and is updated daily on week days.
Initial download of the metrics may take a while.