Free Access

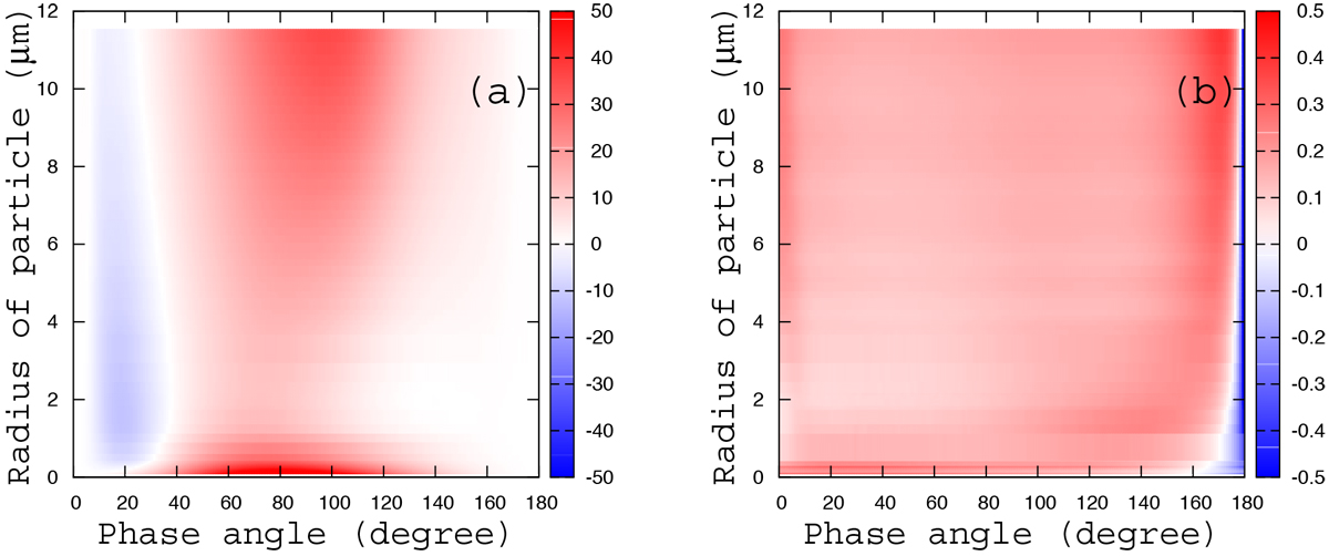
Fig. 8

image

Polarization degree (left) and (gr) color (right) images computed for a mixture of porous Halley-like particles (porosity 85%) and solid silicate particles (forsterite); the ratio of the constituents in the mixture is 9:1. The figure demonstrates the applicability of the rough spheroid model to modeling polarization and color for regular (not distant) comets. Polarization is given in percent and color in magnitudes, but are calculated for the white-light illumination, i.e. they represent the intrinsic color of the dust or, from the astronomical point of view, the dust color excess.

Current usage metrics show cumulative count of Article Views (full-text article views including HTML views, PDF and ePub downloads, according to the available data) and Abstracts Views on Vision4Press platform.

Data correspond to usage on the plateform after 2015. The current usage metrics is available 48-96 hours after online publication and is updated daily on week days.

Initial download of the metrics may take a while.