Free Access

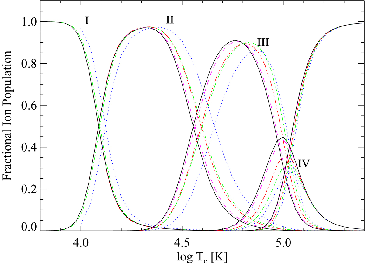
Fig. 9.

image

Effect with density of level-resolved, collisional ionisation on the CR model; blue dotted line – Chianti v.8, green dash-dotted – this work at 104 cm−3 density, red dash-dot-dotted – 108 cm−3, purple dashed – 1010 cm−3, black solid – 1012 cm−3.

Current usage metrics show cumulative count of Article Views (full-text article views including HTML views, PDF and ePub downloads, according to the available data) and Abstracts Views on Vision4Press platform.

Data correspond to usage on the plateform after 2015. The current usage metrics is available 48-96 hours after online publication and is updated daily on week days.

Initial download of the metrics may take a while.