Free Access

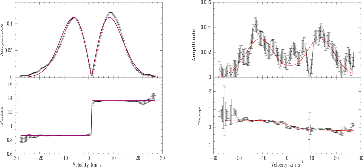
Fig. 15.

image

Amplitude and phase distributions of the frequencies f1 (left) and f2 (right) across the Si III 4552 Å profile. Points with error bars are observations, while full lines are theoretical distributions. In the left panel, models for (l, m) = (0, 0) (red line) and pole-on (l, m) = (1, 0) (blue line), which are indistinguishable at the plotting scale, are shown. In the right panel the theoretical curve corresponds to (l, m) = (2, 2). The amplitude is expressed in units of continuum and the phase in 2π radians.

Current usage metrics show cumulative count of Article Views (full-text article views including HTML views, PDF and ePub downloads, according to the available data) and Abstracts Views on Vision4Press platform.

Data correspond to usage on the plateform after 2015. The current usage metrics is available 48-96 hours after online publication and is updated daily on week days.

Initial download of the metrics may take a while.