Free Access

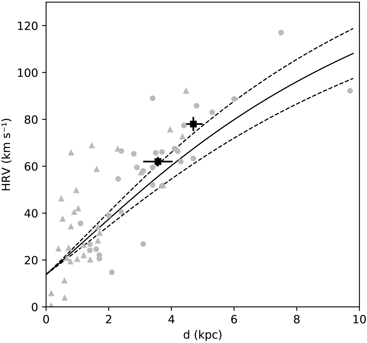
Fig. 7.

image

Distance–RV plot in the direction of Puppis. The solid curve shows our theoretical model based on Galactic rotation, with the dashed curves used to indicate the 1σ propagation errors. Gray circles are classical Galactic Cepheids from Mel’nik et al. (2015) in the third quadrant with Galatic latitudes −2° <  b <  2°, while triangles are bright stars with available RVs from Gaia DR2 with 242.5° <  l <  243.5° and −1° <  b <  1°. Squares with error bars show the position of NGC 2452 and NGC 2453.

Current usage metrics show cumulative count of Article Views (full-text article views including HTML views, PDF and ePub downloads, according to the available data) and Abstracts Views on Vision4Press platform.

Data correspond to usage on the plateform after 2015. The current usage metrics is available 48-96 hours after online publication and is updated daily on week days.

Initial download of the metrics may take a while.