Free Access

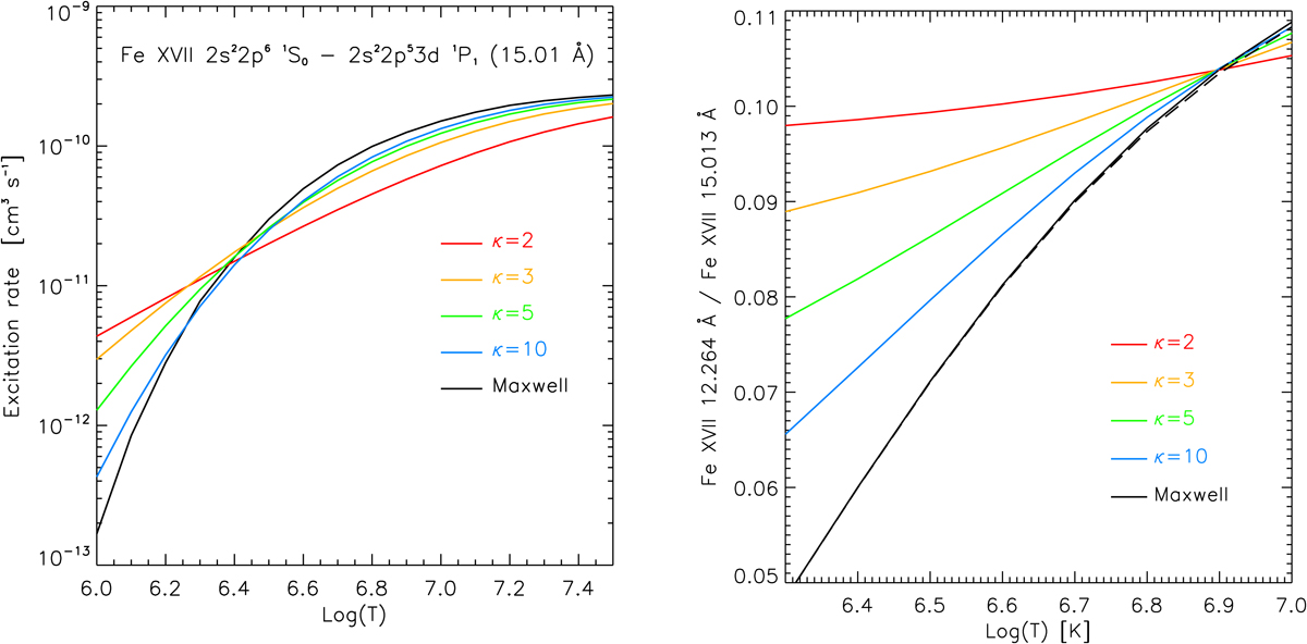
Fig. 2.

image

Left: effect of the electron distribution on the excitation rate of Fe XVII line 15.01 Å. Right: changes of the line intensity ratios with the electron distribution for the Fe XVII 15.01 Å/12.25 Å. The line ratios are not density dependent.

Current usage metrics show cumulative count of Article Views (full-text article views including HTML views, PDF and ePub downloads, according to the available data) and Abstracts Views on Vision4Press platform.

Data correspond to usage on the plateform after 2015. The current usage metrics is available 48-96 hours after online publication and is updated daily on week days.

Initial download of the metrics may take a while.