Free Access

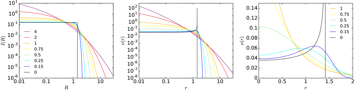
Fig. 1.

image

Left: surface brightness profile I(R) for Sérsic models with different values of m, focussing on models with small m. In this and all of the following figures, we work in dimensionless units, or equivalently, we consider a model with Re = L = M = 1. Middle: luminosity density profile ν(r) for the same set of models. Right: luminosity profiles of models with m ⩽ 1, but now shown in linear scale instead of log-log scale. All model with are characterised by a central depression.

Current usage metrics show cumulative count of Article Views (full-text article views including HTML views, PDF and ePub downloads, according to the available data) and Abstracts Views on Vision4Press platform.

Data correspond to usage on the plateform after 2015. The current usage metrics is available 48-96 hours after online publication and is updated daily on week days.

Initial download of the metrics may take a while.