Free Access

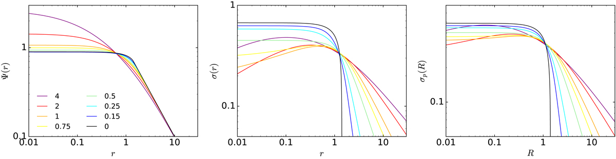
Fig. 3.

image

Left: gravitational potential Ψ(r) for the same set of Sérsic models as in Fig. 1. Middle: velocity dispersion profile σ(r), corresponding to an isotropic velocity distribution. Sérsic models with m <  1 have a finite central velocity dispersion, models with m ⩾ 1 have a central velocity dispersion that goes to zero. Right: observed or projected velocity dispersion profile σp(R), again assuming an isotropic velocity distribution. All models have a finite projected velocity dispersion.

Current usage metrics show cumulative count of Article Views (full-text article views including HTML views, PDF and ePub downloads, according to the available data) and Abstracts Views on Vision4Press platform.

Data correspond to usage on the plateform after 2015. The current usage metrics is available 48-96 hours after online publication and is updated daily on week days.

Initial download of the metrics may take a while.