Free Access

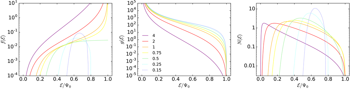
Fig. 4.

image

Left: isotropic distribution function f(ℰ) for the same set of Sérsic models as in Fig. 1. Only for the distribution function is positive over the entire range of binding energies, and hence physical. For models with , the distribution function is negative for binding energies larger than some critical value, and hence these models cannot be supported by an isotropic velocity distributions. For these models, the (positive part of) the distribution function is shown as a dotted line. Middle: density of states function g(ℰ). Right: differential energy distribution N(ℰ).

Current usage metrics show cumulative count of Article Views (full-text article views including HTML views, PDF and ePub downloads, according to the available data) and Abstracts Views on Vision4Press platform.

Data correspond to usage on the plateform after 2015. The current usage metrics is available 48-96 hours after online publication and is updated daily on week days.

Initial download of the metrics may take a while.