Free Access

Fig. 11

image

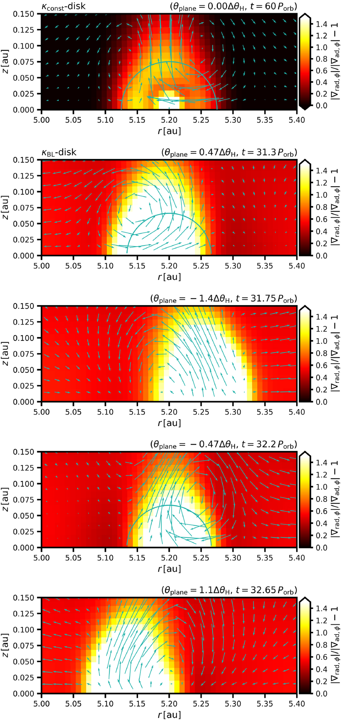
Balance of the Schwarzschild criterion in the vertical planes of the κconst -disk (top) and the κBL-disk (remaining panels). The individual vertical planes are chosen to track the most prominent vertical flow at the given simulation time t (see the main text) and their azimuthal separations from the protoplanet location are given by panel labels (using multiples of the azimuthal span ΔθH of the Hill sphere radius). The colour maps evaluate Eq. (15). Positive values indicate superadiabatic vertical temperaturegradients. The vertical velocity vector field is overlaid in the plots. The half-circles mark the overlap of a given plane with the Hill sphere (the planes in panels 3 and 5 do not overlap with the Hill sphere).

Current usage metrics show cumulative count of Article Views (full-text article views including HTML views, PDF and ePub downloads, according to the available data) and Abstracts Views on Vision4Press platform.

Data correspond to usage on the plateform after 2015. The current usage metrics is available 48-96 hours after online publication and is updated daily on week days.

Initial download of the metrics may take a while.