Open Access

Fig. 16

image

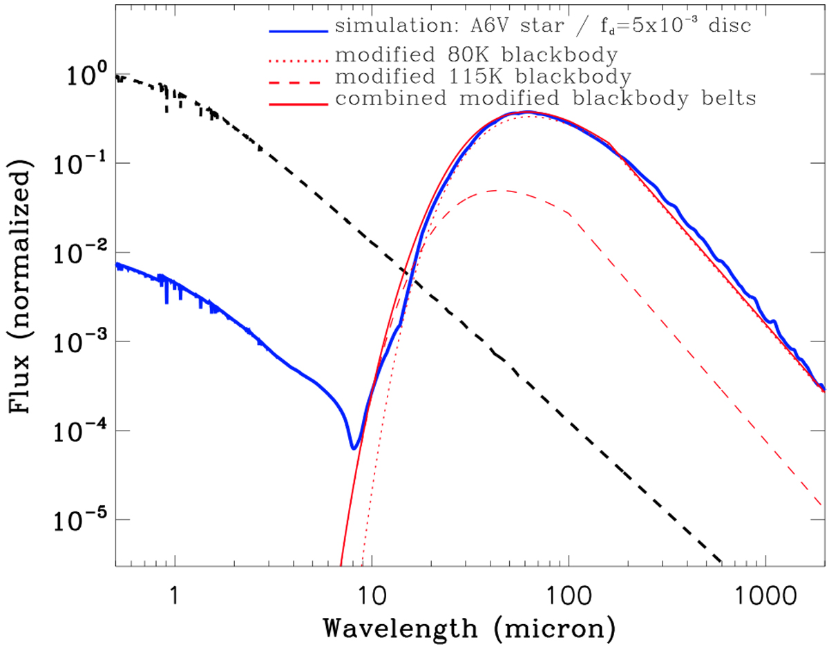
Comparison between synthetic SED from simulation results (for an A6V star and a cold disc with fd = 5 × 10−3) and a fit with the combination of two modified black-bodies with T = 115 K, λ0 = 100 μm, γ = − 0.60 and T = 80 K, λ0 = 160 μm, γ = − 0.57, respectively (see text for more detail).

Current usage metrics show cumulative count of Article Views (full-text article views including HTML views, PDF and ePub downloads, according to the available data) and Abstracts Views on Vision4Press platform.

Data correspond to usage on the plateform after 2015. The current usage metrics is available 48-96 hours after online publication and is updated daily on week days.

Initial download of the metrics may take a while.