Open Access

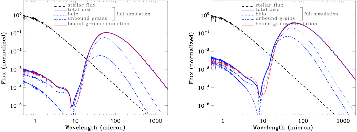
Fig. 3

image

Colddisk of an A6V star: normalised SED (solid line in blue). Left: bright debris disc with fd ~ 10−3. Right: very bright debris disc with fd ~ 5 × 10−3. The dash-dotted blue line shows the contribution of unbound ssblow grains. The dotted blue line represents the contribution of grains in the halo beyond the main disc. The red line corresponds to a simulation that only takes ssblow grains into account.

Current usage metrics show cumulative count of Article Views (full-text article views including HTML views, PDF and ePub downloads, according to the available data) and Abstracts Views on Vision4Press platform.

Data correspond to usage on the plateform after 2015. The current usage metrics is available 48-96 hours after online publication and is updated daily on week days.

Initial download of the metrics may take a while.