Open Access

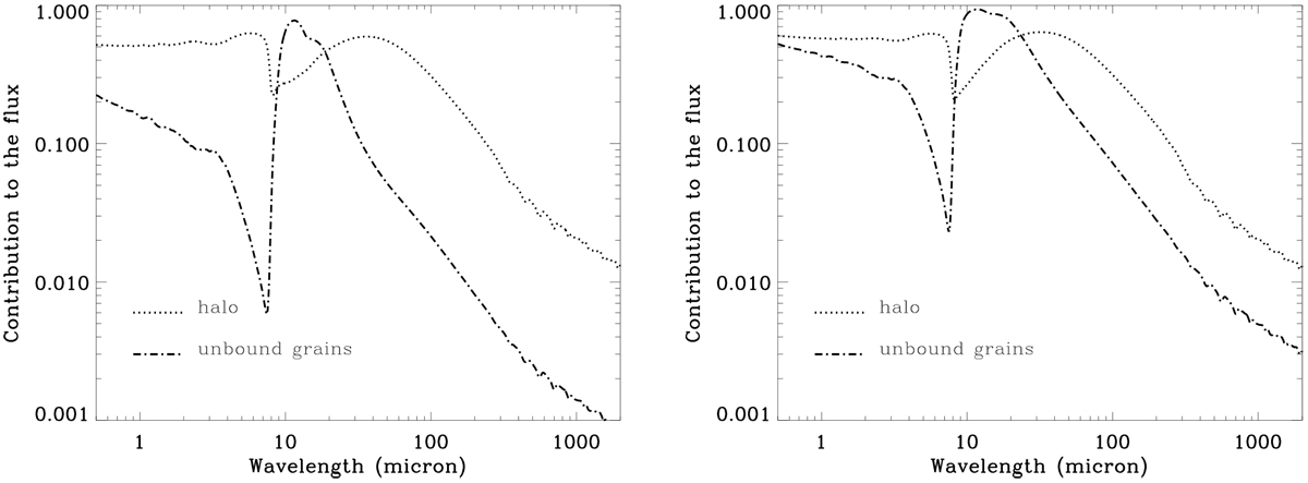
Fig. 4

image

Cold disc of an A6V star: fractional contribution of unbound (dash-dotted line) and halo (dotted line) grains to the SED as a function of wavelength. Left: bright debris disc with fd ~ 10−3. Right: very bright debris disc with fd ~ 5 × 10−3.

Current usage metrics show cumulative count of Article Views (full-text article views including HTML views, PDF and ePub downloads, according to the available data) and Abstracts Views on Vision4Press platform.

Data correspond to usage on the plateform after 2015. The current usage metrics is available 48-96 hours after online publication and is updated daily on week days.

Initial download of the metrics may take a while.