Free Access

Fig. 1

image

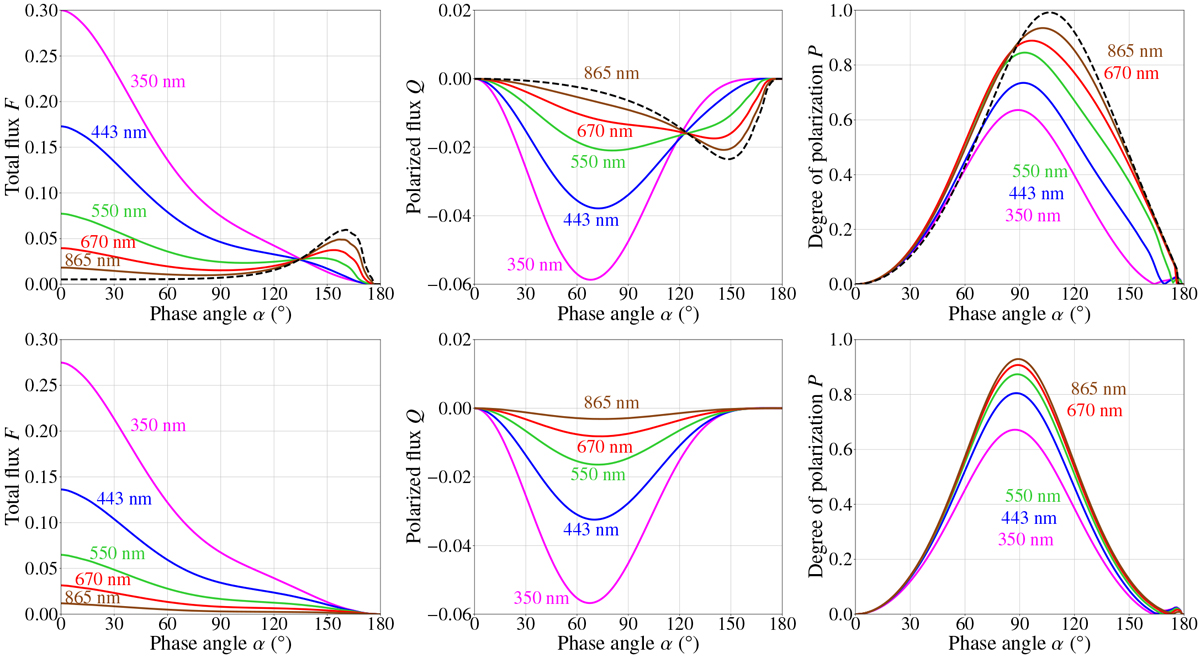
Disk-integrated reflected total flux F (left column), linearly polarized flux Q (middle column) and degree of polarization P (right column) of an ocean planet with a rough, Fresnel reflecting surface (top row) and a planet with a black surface (bottom row) as functions of the phase angle, for various wavelengths. Both planets have a pure gaseous atmosphere and are cloud-free. The wind speed above the ocean is 7 m s−1, and the surface coverage of white caps 0.28%. The black dashed line in the ocean planet plots (top row) pertains to a planet covered by the rough Fresnel surface, with a black surface below, thus without sub-surface ocean, and without atmosphere above.

Current usage metrics show cumulative count of Article Views (full-text article views including HTML views, PDF and ePub downloads, according to the available data) and Abstracts Views on Vision4Press platform.

Data correspond to usage on the plateform after 2015. The current usage metrics is available 48-96 hours after online publication and is updated daily on week days.

Initial download of the metrics may take a while.