Free Access

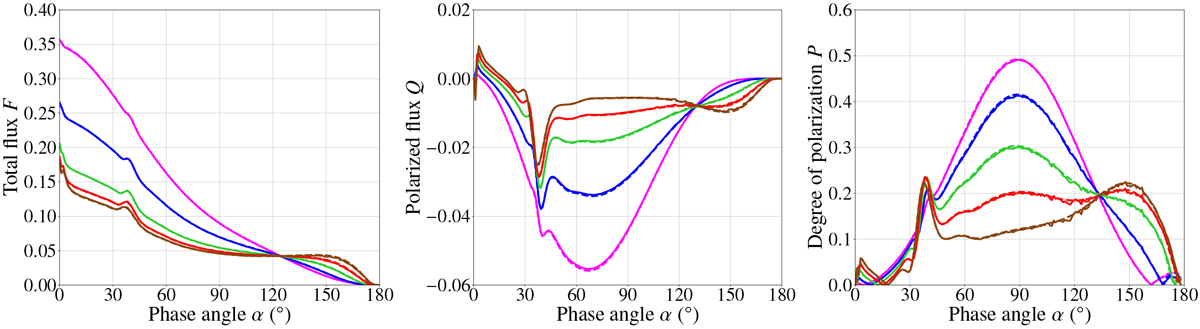
Fig. C.1

image

Comparison between F (left), Q (middle), and P (right) of the reflected light as computed using the weighted sum method (dashed lines) and as computed for pixelated, horizontally inhomogeneous ocean planets with patchy clouds (solid lines). The solid lines are the same as those shown in the second rows and second columns of Figs. 810. The cloud coverage fraction fc, which isthe weighting factor in the weighted sum approach, is 0.50 and the wind speed v is 7 m s−1. The wavelengths are the same as those used in Figs. 810, i.e., 350 nm (pink), 443 nm (blue), 550 nm (green), 670 nm (red), 865 nm (brown).

Current usage metrics show cumulative count of Article Views (full-text article views including HTML views, PDF and ePub downloads, according to the available data) and Abstracts Views on Vision4Press platform.

Data correspond to usage on the plateform after 2015. The current usage metrics is available 48-96 hours after online publication and is updated daily on week days.

Initial download of the metrics may take a while.