Free Access

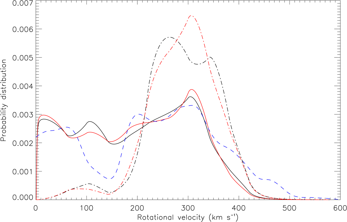
Fig. 7.

image

Rotational velocity probability distributions, f(ve), for the apparently single B-type stars in NGC 346 deduced from the PF (black line) and FT (red line) estimates, and for the equivalent sample in 30 Doradus (dotted blue line) of Dufton et al. (2013). Also shown are the equivalent distributions for the apparently single Be-type (dash-dotted black and red lines).

Current usage metrics show cumulative count of Article Views (full-text article views including HTML views, PDF and ePub downloads, according to the available data) and Abstracts Views on Vision4Press platform.

Data correspond to usage on the plateform after 2015. The current usage metrics is available 48-96 hours after online publication and is updated daily on week days.

Initial download of the metrics may take a while.