Free Access

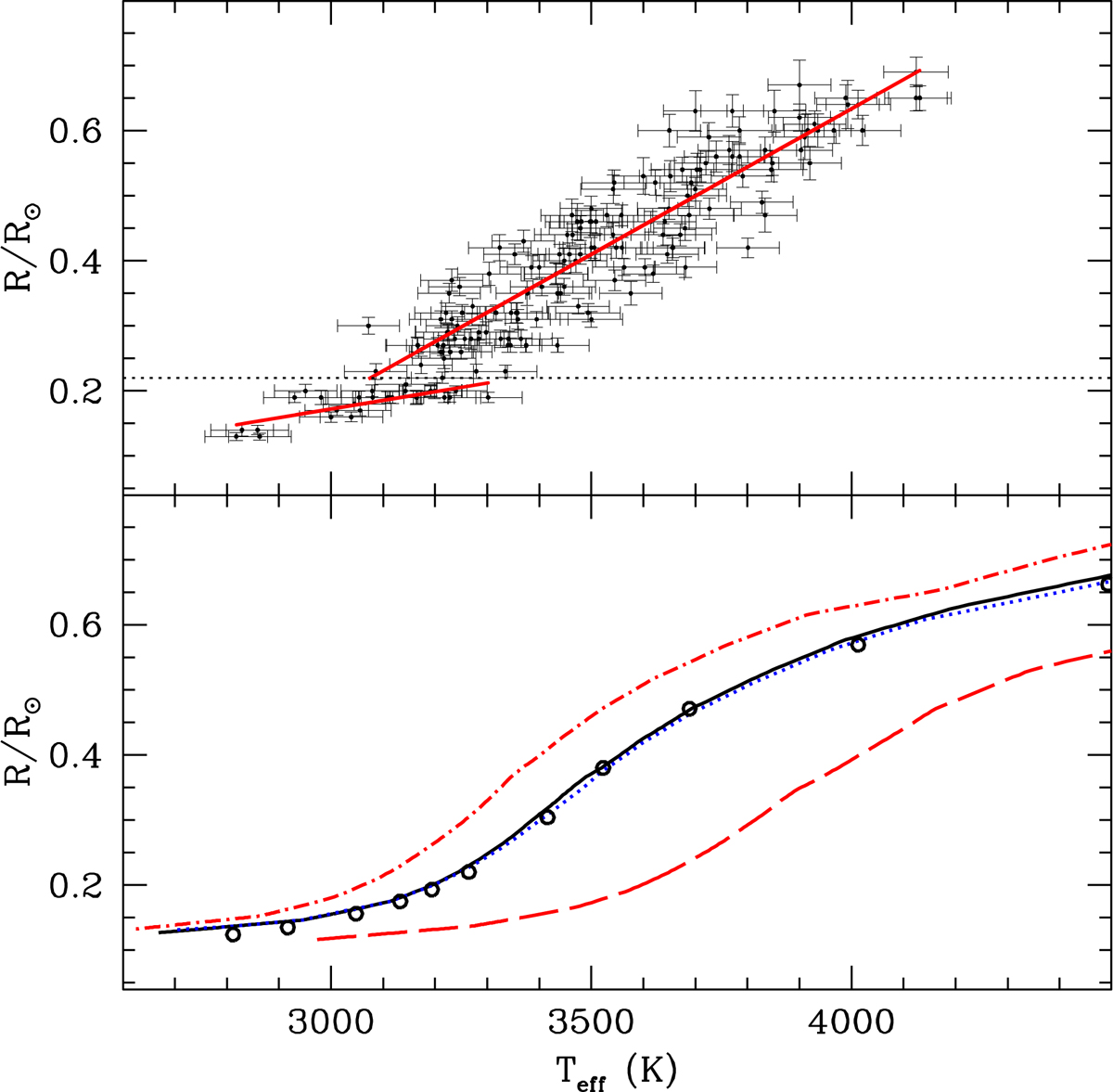
Fig. 1.

image

Upper panel: Teff − R diagram for M15 data (including error bars). The solid lines show the fitted linear relationships discussed in the text. Lower panel: Teff − R relationships from theoretical VLM models. Dot-dashed, solid, and dashed lines display 10 Gyr BaSTI-IAC models with [Fe/H] = +0.45, +0.06 and −0.60, respectively. The dotted line shows BASTI-IAC 1 Gyr, [Fe/H] + 0.06 models, while the open circles display the Baraffe et al. (2015) results for 10 Gyr and [Fe/H] = 0.0.

Current usage metrics show cumulative count of Article Views (full-text article views including HTML views, PDF and ePub downloads, according to the available data) and Abstracts Views on Vision4Press platform.

Data correspond to usage on the plateform after 2015. The current usage metrics is available 48-96 hours after online publication and is updated daily on week days.

Initial download of the metrics may take a while.