Free Access

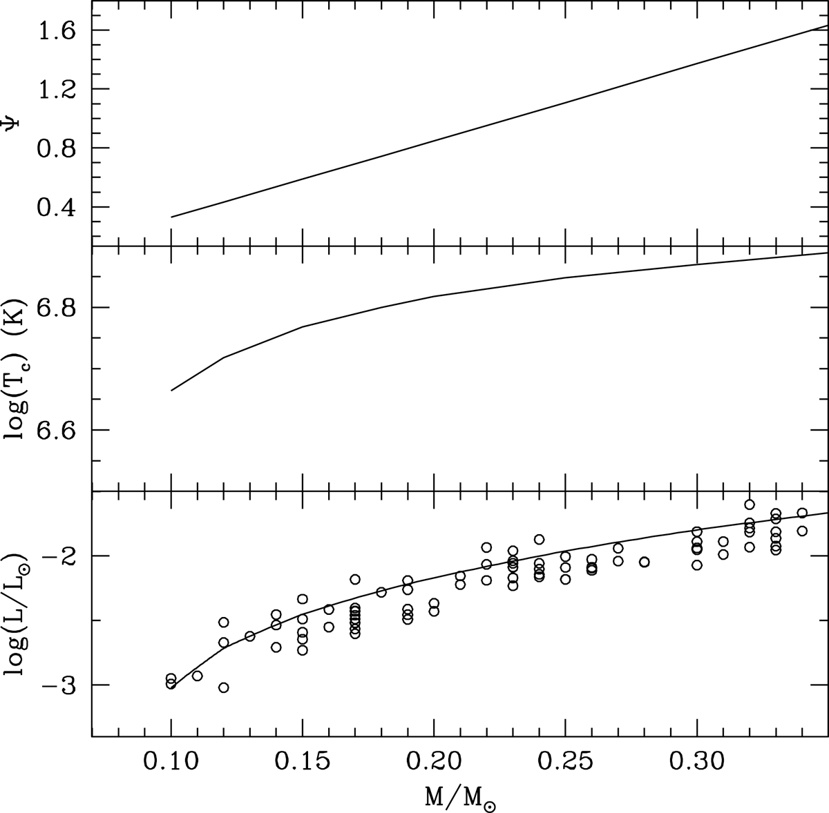
Fig. 6.

image

Upper panel: theoretical relationship between central degeneracy parameter and total stellar mass around M = 0.2 M for 10 Gyr BaSTI-IAC models with [Fe/H] = 0.06. Middle panel: same as the upper panel, but for the central temperature. Lower panel: same as the upper panel, but for the surface luminosity. Data from M15 are also displayed (see text for details).

Current usage metrics show cumulative count of Article Views (full-text article views including HTML views, PDF and ePub downloads, according to the available data) and Abstracts Views on Vision4Press platform.

Data correspond to usage on the plateform after 2015. The current usage metrics is available 48-96 hours after online publication and is updated daily on week days.

Initial download of the metrics may take a while.