Free Access
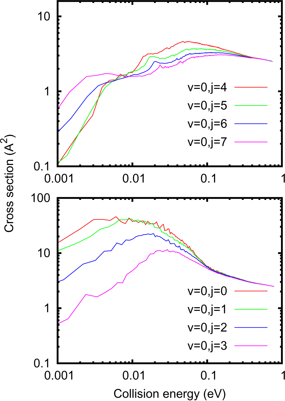
Fig. 3.

Destruction cross section for the reaction SH+(3Σ−, v, j) + H → S+(4So) + H2 for several rotational states and v = 0 as a function of collision energy.
Current usage metrics show cumulative count of Article Views (full-text article views including HTML views, PDF and ePub downloads, according to the available data) and Abstracts Views on Vision4Press platform.
Data correspond to usage on the plateform after 2015. The current usage metrics is available 48-96 hours after online publication and is updated daily on week days.
Initial download of the metrics may take a while.