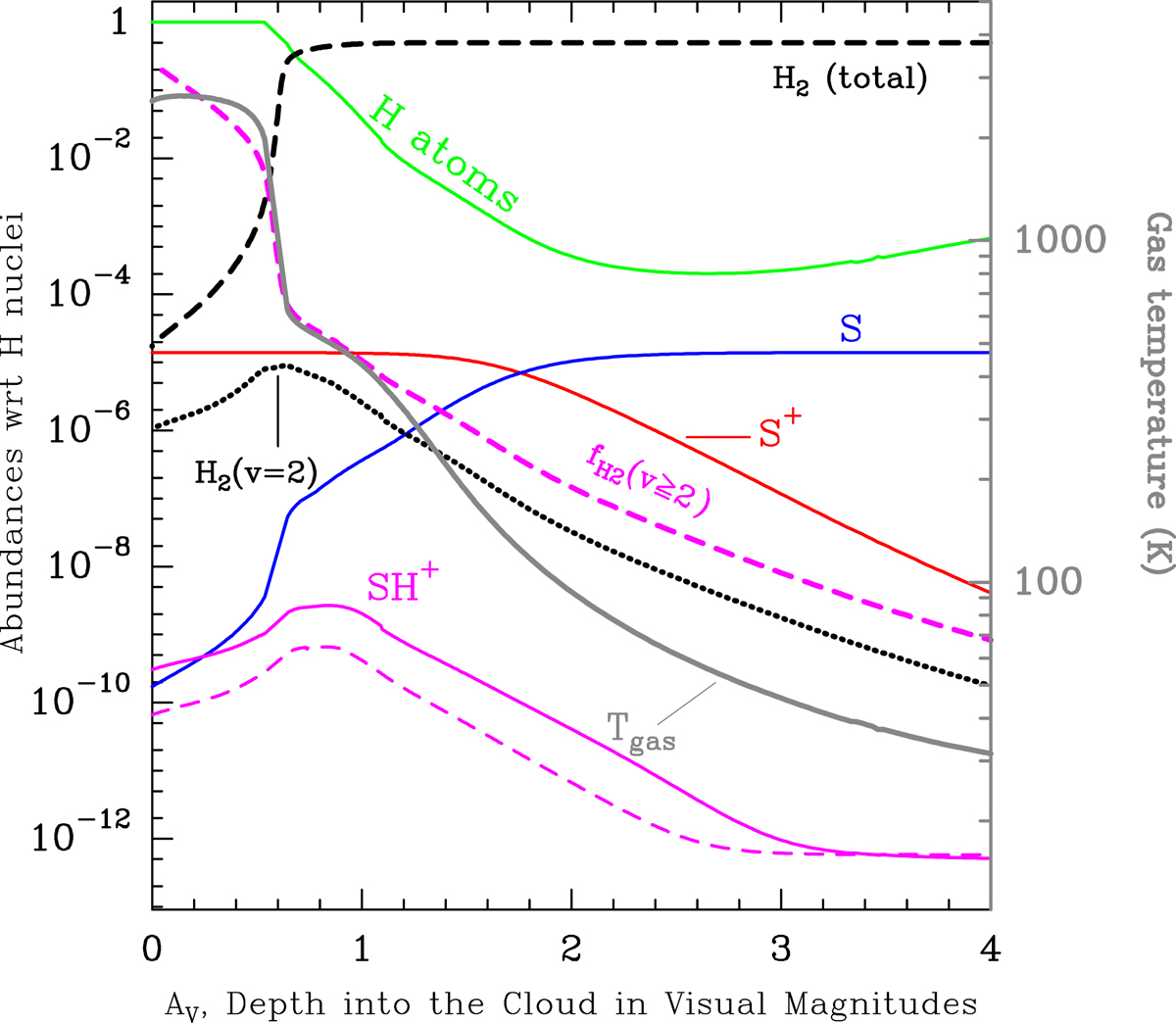
Fig. 7.

Model of a strongly irradiated and constant-pressure PDR with Pth = 2 × 108 K cm−3 and G0 = 2 × 104, appropriate to the most irradiated layers of the Orion Bar PDR. Fractional abundances of SH+, H2 (total), H2 (v = 2), S+, S and, H are shown as a function of depth into the cloud. We also show fH2, the fraction of H2 that is in vibrationally excited levels v ≥ 2, and the gas temperature (in gray, right axis scale). The dashed SH+ abundance profile is for a model that uses the old formation and destruction rates (Zanchet et al. 2013a).
Current usage metrics show cumulative count of Article Views (full-text article views including HTML views, PDF and ePub downloads, according to the available data) and Abstracts Views on Vision4Press platform.
Data correspond to usage on the plateform after 2015. The current usage metrics is available 48-96 hours after online publication and is updated daily on week days.
Initial download of the metrics may take a while.