Free Access

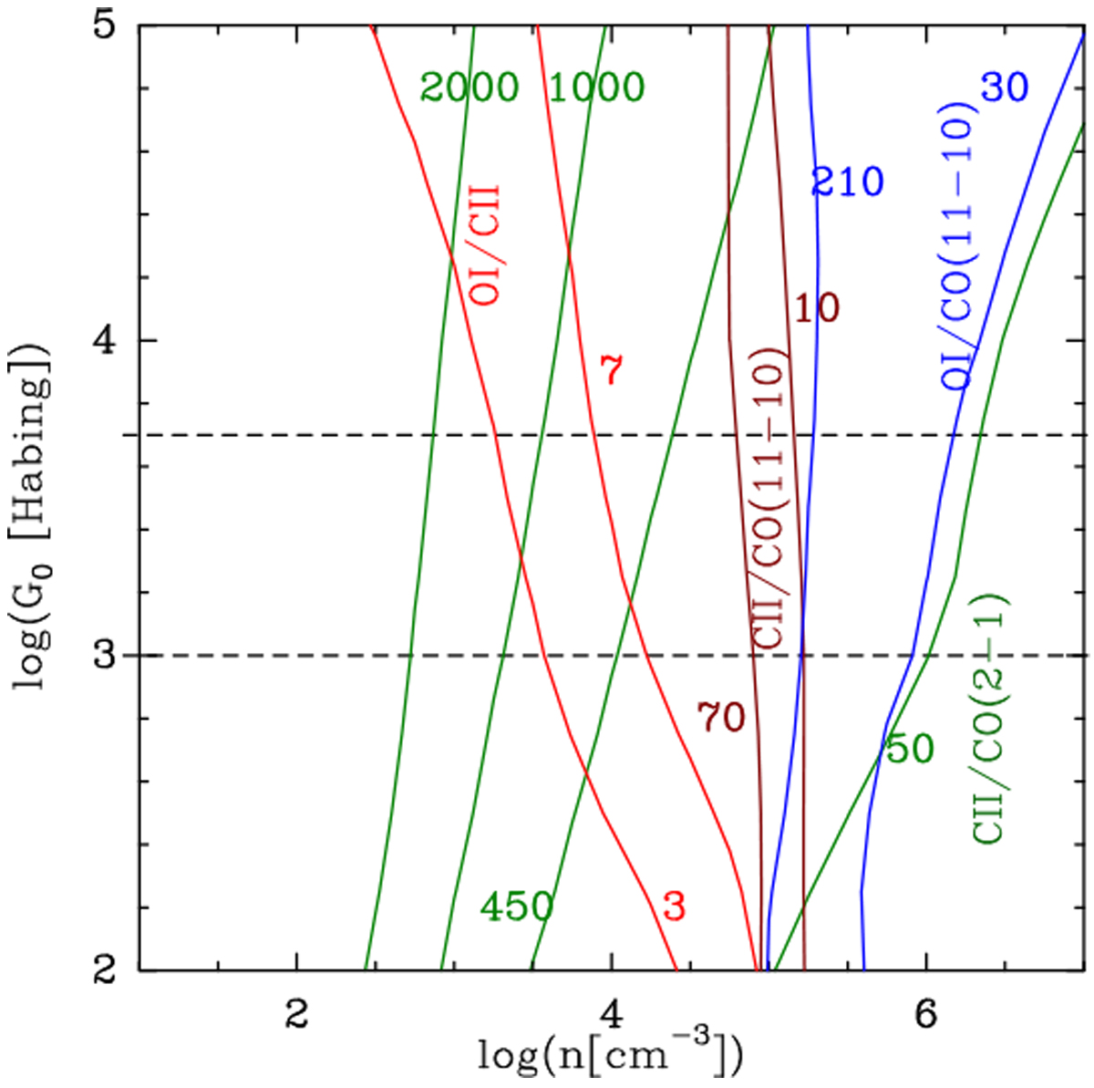
Fig. 11

image

Contours of observed intensity ratios plotted on the intensity predictions as a function of hydrogen density nH and FUV radiation field (G0) from PDR models for the selected regions in the cloud around Treasure Chest. The horizontal dashed lines correspond to FUV in the eastern tail (1000 G0) and close to the embedded cluster (5000 G0), as estimated by Roccatagliata et al. (2013). The contours of [C II]/CO(2–1) (green), [C II]/CO(11–10) (brown), [O I]/CO(11–10) (blue), and [O I]/[C II] (red) correspond to the extreme values that these ratios (see text) take up. The ratios are inenergy units.

Current usage metrics show cumulative count of Article Views (full-text article views including HTML views, PDF and ePub downloads, according to the available data) and Abstracts Views on Vision4Press platform.

Data correspond to usage on the plateform after 2015. The current usage metrics is available 48-96 hours after online publication and is updated daily on week days.

Initial download of the metrics may take a while.