Free Access

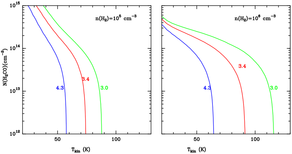
Fig. 8

image

RADEX non-LTE modeling of 303–202/321–220 ratio of H2CO. The ratio is calculated as a function of the gas kinetic temperature (Tkin) and column density of H2CO for the volume densities n(H2) of 105 (left) and 106 cm−3 (right). Contours with labels mark the observed line-intensity ratios for H2CO.

Current usage metrics show cumulative count of Article Views (full-text article views including HTML views, PDF and ePub downloads, according to the available data) and Abstracts Views on Vision4Press platform.

Data correspond to usage on the plateform after 2015. The current usage metrics is available 48-96 hours after online publication and is updated daily on week days.

Initial download of the metrics may take a while.