Free Access

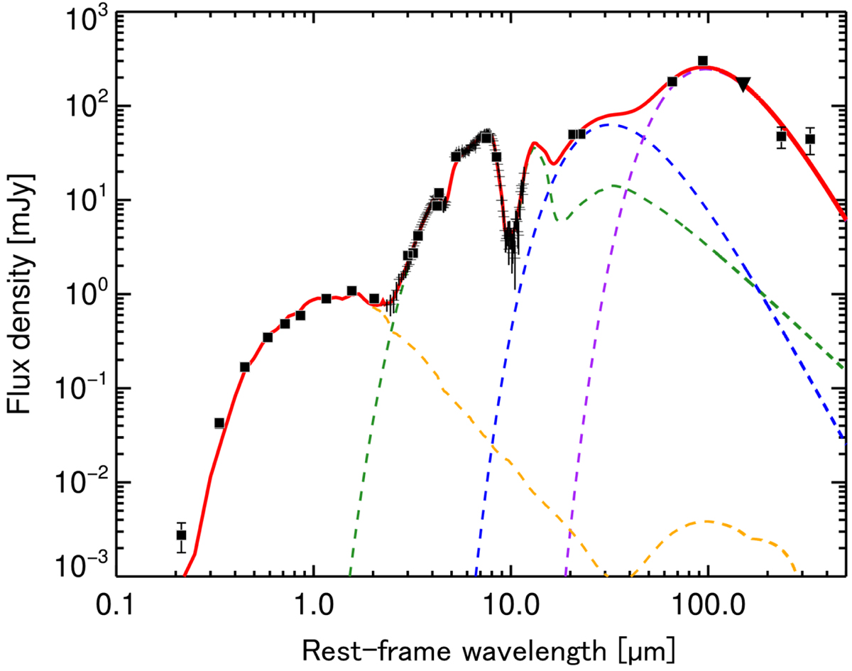
Fig. 2.

image

Spectral energy distribution of LEDA 1712304. Filled squares correspond to the observed flux densities, while a downward triangle represents the 3σ upper limit. The AKARI/IRC spectral data at 2.5–12.5 μm are also included in the fitting. A red solid line shows the best-fit model, where the stellar, hot dust, warm dust, and cold dust components are shown by yellow, green, blue, and purple dashed lines, respectively.

Current usage metrics show cumulative count of Article Views (full-text article views including HTML views, PDF and ePub downloads, according to the available data) and Abstracts Views on Vision4Press platform.

Data correspond to usage on the plateform after 2015. The current usage metrics is available 48-96 hours after online publication and is updated daily on week days.

Initial download of the metrics may take a while.