Free Access

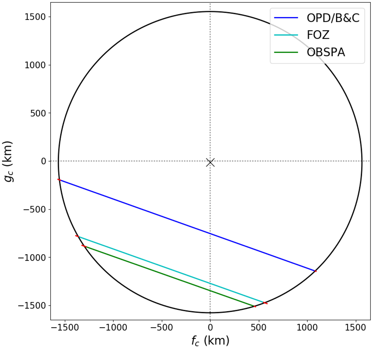
Fig. 3.

image

Best elliptical limb fit (in black) using the three occultation chords. Blue, cyan, and green lines are the chords from the positive detection obtained at OPD/B&C, FOZ, and OBSPA, respectively. The small red segments at the end of each segment indicate the 1σ uncertainty on each chord extremity, derived from the time uncertainties provided in Table 2. The position of the centre of the fitted ellipse is showed as an X, with values of fc = −0.9 ± 3.1 km and gc = −12.3 ± 2.0 km, and represents the offset with respect to the JPL geocentric ephemeris. The fitted parameters of the ellipse are listed in Table 2.

Current usage metrics show cumulative count of Article Views (full-text article views including HTML views, PDF and ePub downloads, according to the available data) and Abstracts Views on Vision4Press platform.

Data correspond to usage on the plateform after 2015. The current usage metrics is available 48-96 hours after online publication and is updated daily on week days.

Initial download of the metrics may take a while.