Free Access

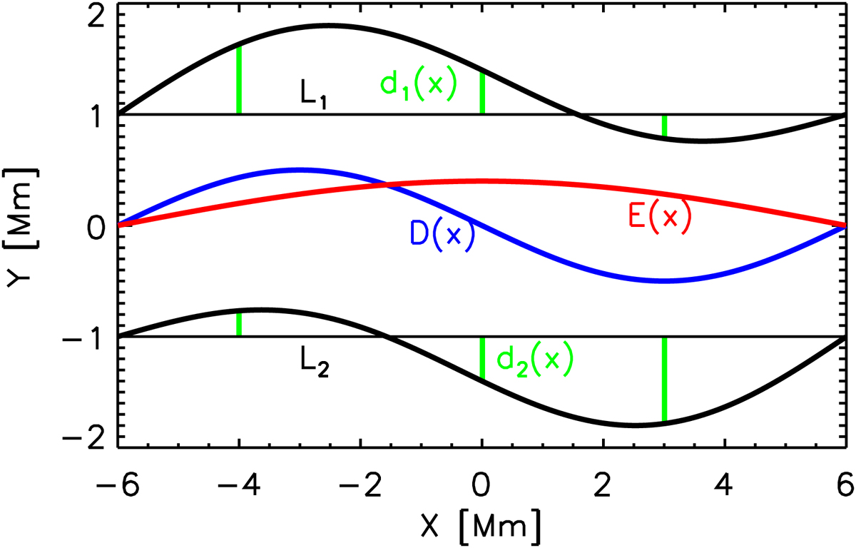
Fig. 6.

image

Sketch showing that the distortion of a pair of magnetic field lines L1(x) and L2(x) can be interpreted in terms of the displacements d1(x) and d2(x) to derive the functions D(x) and E(x).

Current usage metrics show cumulative count of Article Views (full-text article views including HTML views, PDF and ePub downloads, according to the available data) and Abstracts Views on Vision4Press platform.

Data correspond to usage on the plateform after 2015. The current usage metrics is available 48-96 hours after online publication and is updated daily on week days.

Initial download of the metrics may take a while.