Open Access

Fig. B.1.

image

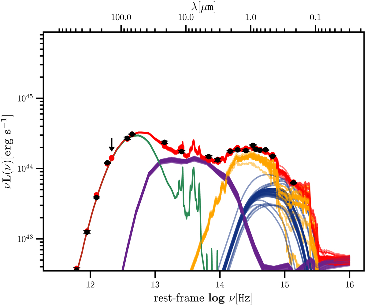
Reconstructed SED for HE 0433−1028 and best-fit SED model determined by AGNFITTER (Calistro Rivera et al. 2016). We show 50 MCMC realizations fit to the broadband photometric data (black points with error bars). The red lines represent the total model, which consists of four components: the cold and warm dust in star-forming regions (green lines), the torus of AGN-heated dust (purple lines), the stellar continuum (yellow lines), and the AGN accretion disk (blue lines).

Current usage metrics show cumulative count of Article Views (full-text article views including HTML views, PDF and ePub downloads, according to the available data) and Abstracts Views on Vision4Press platform.

Data correspond to usage on the plateform after 2015. The current usage metrics is available 48-96 hours after online publication and is updated daily on week days.

Initial download of the metrics may take a while.