Free Access

Fig. 7.

image

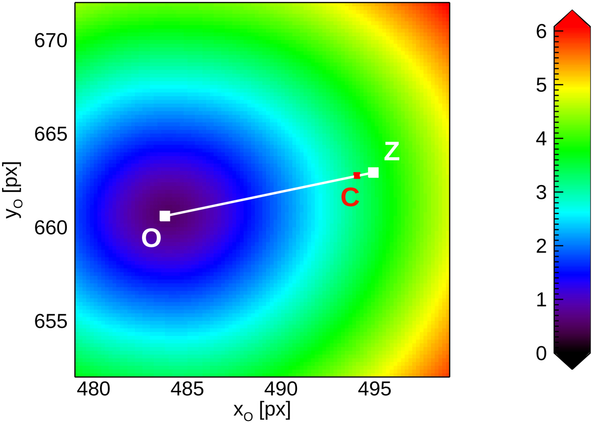
Map of the residuals sum values (χLAV, see Eq. (12)) for fixed Z = (xZ, yZ) (and the other distortion parameters) and varying O = (xO, yO) as described in Sect. 5 for the night on 5 January 2017 of the Pino Torinese station. An evident minimum is visible at about 12 px distance from Z, indicating the initial guess for O, where χLAV ≃ 1.

Current usage metrics show cumulative count of Article Views (full-text article views including HTML views, PDF and ePub downloads, according to the available data) and Abstracts Views on Vision4Press platform.

Data correspond to usage on the plateform after 2015. The current usage metrics is available 48-96 hours after online publication and is updated daily on week days.

Initial download of the metrics may take a while.