Free Access

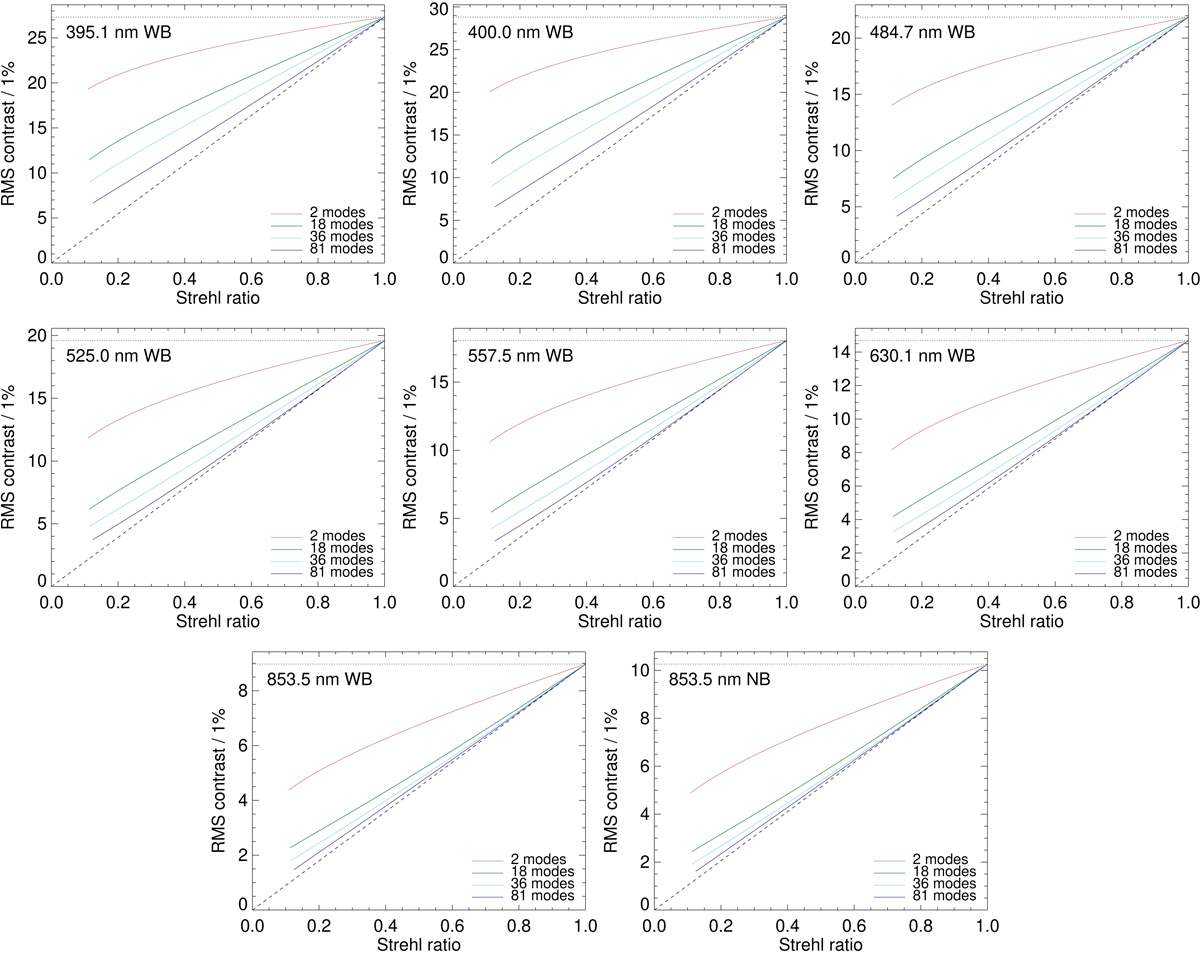
Fig. 10.

image

Theoretically calculated RMS granulation contrast for different Strehl values, based on residual wavefront errors after perfect low-order modal compensation of seeing degraded images recorded with a 1-m telescope. When approximately 50 modes or more are compensated, the relation between the Strehl ratio and the granulation contrast is almost linear, and independent of the number of modes compensated. This is because the wings of the PSF are then sufficiently wide (see Fig. 9) that more than one granule is included under the PSF. With such wide wings, making the PSF wider does not increase the amount of stray light. At short wavelengths, a higher number of compensated modes than at long wavelengths is required for this simple relation between Strehl and granulation contrast to be true.

Current usage metrics show cumulative count of Article Views (full-text article views including HTML views, PDF and ePub downloads, according to the available data) and Abstracts Views on Vision4Press platform.

Data correspond to usage on the plateform after 2015. The current usage metrics is available 48-96 hours after online publication and is updated daily on week days.

Initial download of the metrics may take a while.