Free Access

Fig. 7.

image

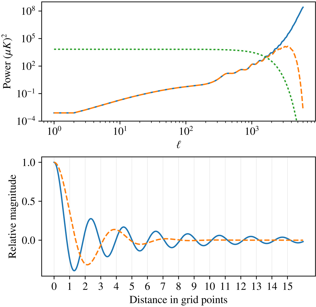
Harmonic filtering of the mask-restricted system ZS−1ZT. Top panel: inverse CMB power spectrum 1/C (solid blue), on the diagonal of the S−1 matrix behaves as ℓ2 near the beginning, increasing in steepness to ℓ8 at ℓ = 6000. It crosses the diagonal of the inverse-noise term N−1 (dotted green) at around ℓ = 1600. Above this point the system becomes prior dominated and the pseudo-inverse preconditioner works well both inside and outside the mask. Since we do not need the dedicated mask solver to solve for high ℓ, we apply a filter r as described in Sect. 4.4, resulting in a filtered prior (dashed orange). Bottom panel: S−1 operator in pixel domain. The plot displays (YS−1YT)ij as a function of the distance between grid points i and j. Both the unfiltered operator 1/C (solid blue) and the low-pass filtered (dashed orange) have a “Mexican hat” or Wavelet-like azimuthally symmetric shape. The low-pass filter ensures that the oscillations decay quickly, making the system easier to solve in pixel domain than the unfiltered version.

Current usage metrics show cumulative count of Article Views (full-text article views including HTML views, PDF and ePub downloads, according to the available data) and Abstracts Views on Vision4Press platform.

Data correspond to usage on the plateform after 2015. The current usage metrics is available 48-96 hours after online publication and is updated daily on week days.

Initial download of the metrics may take a while.