Open Access

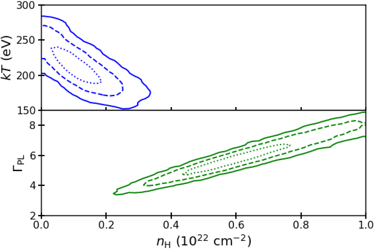
Fig. 3.

image

1, 2, and 3σ confidence contours. Top plot: degeneracy between the nH and the temperature of the black body for PSR J1909–3744. Bottom plot: 1, 2, and 3σ confidence contours show the degeneracy between the nH and the photon index ΓPL of the power-law fit.

Current usage metrics show cumulative count of Article Views (full-text article views including HTML views, PDF and ePub downloads, according to the available data) and Abstracts Views on Vision4Press platform.

Data correspond to usage on the plateform after 2015. The current usage metrics is available 48-96 hours after online publication and is updated daily on week days.

Initial download of the metrics may take a while.