Open Access

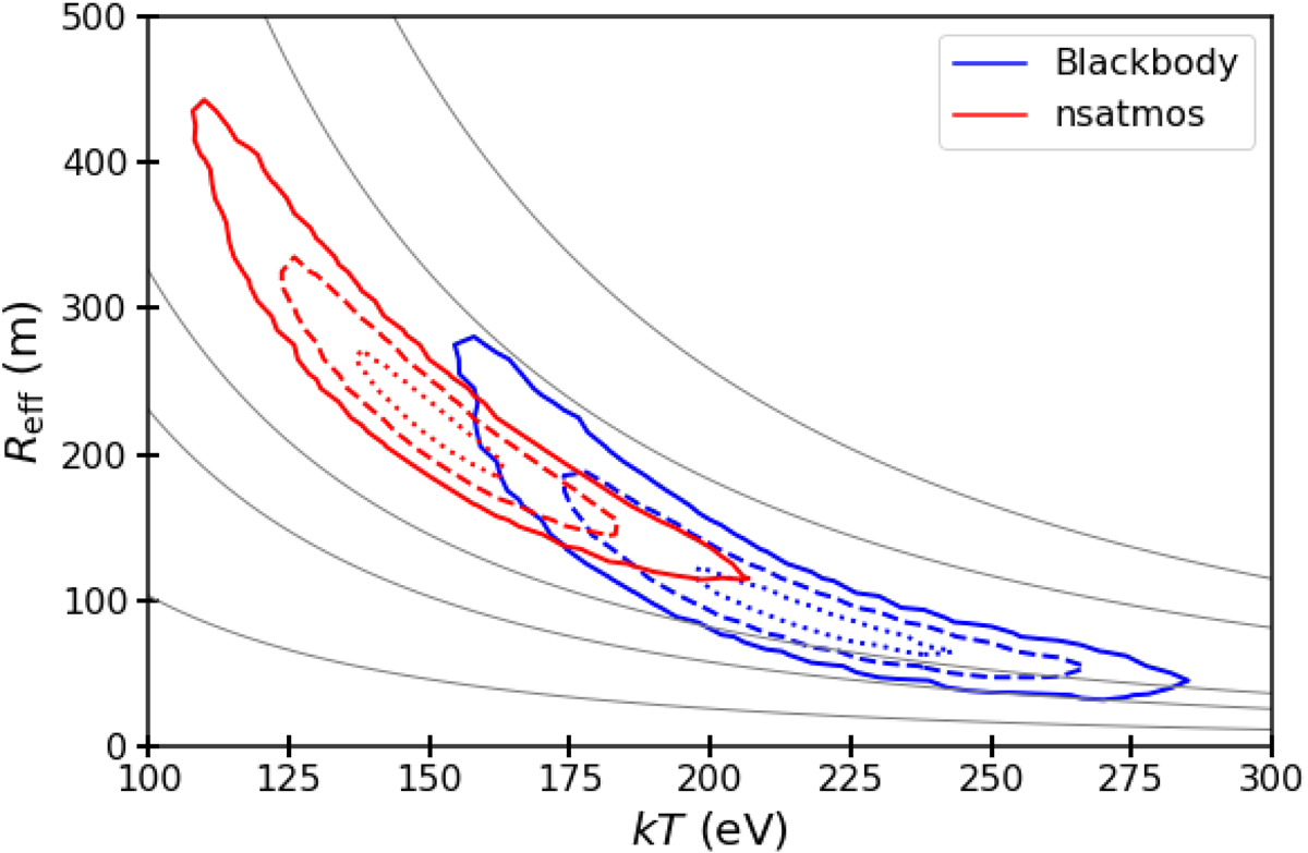
Fig. 4.

image

1, 2, and 3 σ confidence contours from fitting the X-ray spectrum of PSR J1909–3744. This shows the degeneracy between the temperature and size of the emitting surface when using the black-body model and the nsatmos model. For the latter, the model with fixed neutron star radius (R = 10.6 km, model (z) in Table 2) was used. Lines of constant (un-absorbed) bolometric flux are shown in grey, ranging from 10−15 to 10−13 erg s−1 cm−2, in steps of 0.5 dex.

Current usage metrics show cumulative count of Article Views (full-text article views including HTML views, PDF and ePub downloads, according to the available data) and Abstracts Views on Vision4Press platform.

Data correspond to usage on the plateform after 2015. The current usage metrics is available 48-96 hours after online publication and is updated daily on week days.

Initial download of the metrics may take a while.