Open Access

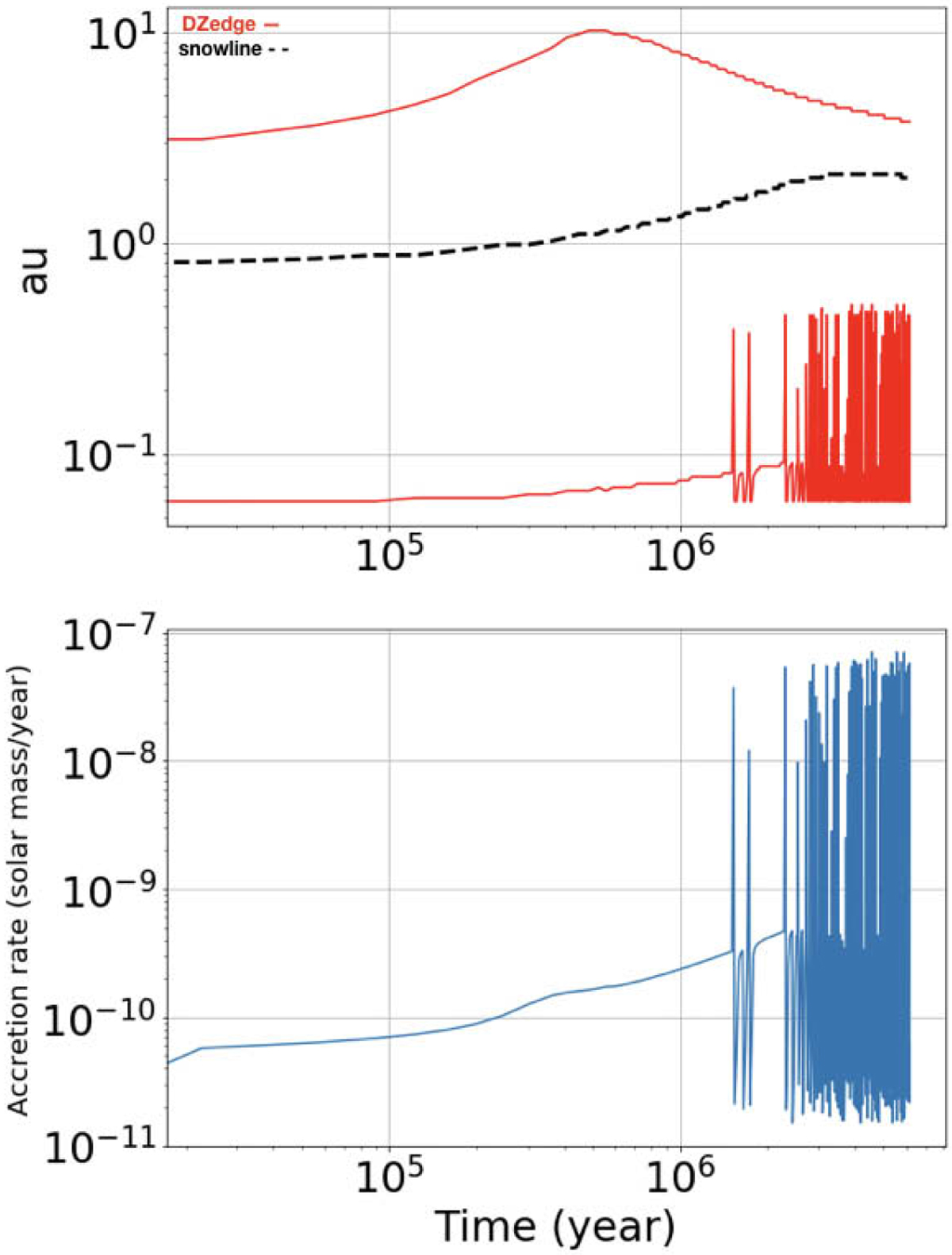
Fig. 12

image

Edges of the dead zone, snow-line location, and accretion rate. Top: inner and outer radii of the dead zone (red line) and the snow line (dashed black line). Bottom: accretion rate (solar mass/year) vs. time. Spikes >1 Myrs are FU Orionis-like instabilities and triggers in the innermost region of the dead zone.

Current usage metrics show cumulative count of Article Views (full-text article views including HTML views, PDF and ePub downloads, according to the available data) and Abstracts Views on Vision4Press platform.

Data correspond to usage on the plateform after 2015. The current usage metrics is available 48-96 hours after online publication and is updated daily on week days.

Initial download of the metrics may take a while.