Open Access

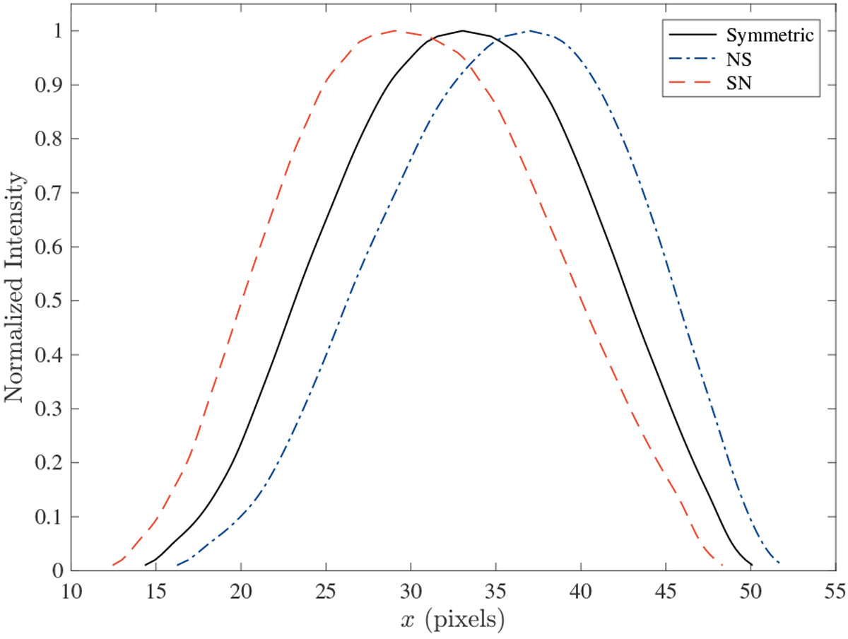
Fig. 7

image

Mean photometric profile from September 14, 2009 data. A so-called photometric profile is the sum of each photometric map projected along the y-axis on the x-axis. Intensity was normalized such as maximum value is 1. The “NS” and “SN” photometric profiles are the average profiles for each scanning direction (NS or SN). The symmetric profile is the bisector of both profiles.

Current usage metrics show cumulative count of Article Views (full-text article views including HTML views, PDF and ePub downloads, according to the available data) and Abstracts Views on Vision4Press platform.

Data correspond to usage on the plateform after 2015. The current usage metrics is available 48-96 hours after online publication and is updated daily on week days.

Initial download of the metrics may take a while.