Free Access

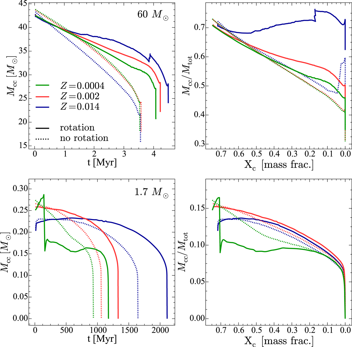
Fig. 10.

image

Absolute value of the convective core mass as a function of age during the core H-burning phase (left panels) and fractional mass of the convective core as a function of hydrogen mass fraction at the center (right panels). Top panels: 60 M model. Bottom panels: 1.7 M model.

Current usage metrics show cumulative count of Article Views (full-text article views including HTML views, PDF and ePub downloads, according to the available data) and Abstracts Views on Vision4Press platform.

Data correspond to usage on the plateform after 2015. The current usage metrics is available 48-96 hours after online publication and is updated daily on week days.

Initial download of the metrics may take a while.