Free Access
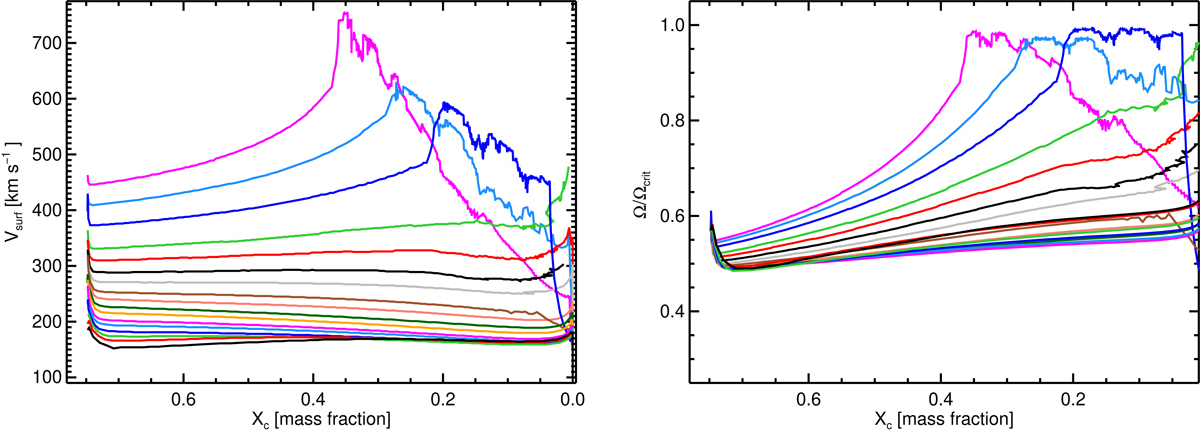
Fig. 3.
Left panel: evolution of the surface equatorial velocities during the MS phase. The mass sequence is increasing from the black bottom line (1.7 M⊙) to the upper magenta line (120 M⊙). Right panel: evolution of the ratio Ω/Ωcrit for the same models.
Current usage metrics show cumulative count of Article Views (full-text article views including HTML views, PDF and ePub downloads, according to the available data) and Abstracts Views on Vision4Press platform.
Data correspond to usage on the plateform after 2015. The current usage metrics is available 48-96 hours after online publication and is updated daily on week days.
Initial download of the metrics may take a while.