Free Access

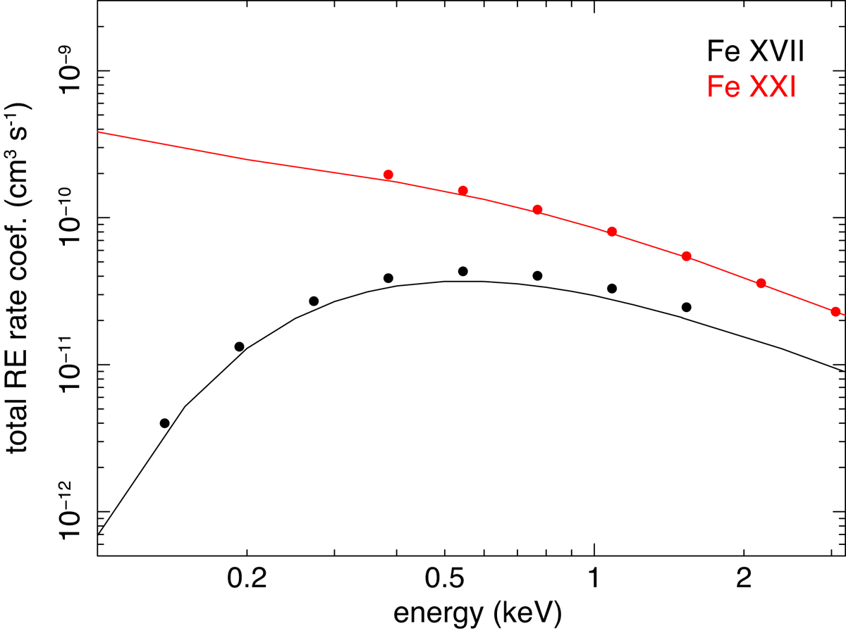
Fig. 1.

image

Total resonant excitation (RE) rate coefficients of Fe XVII and Fe XXI through their neighboring ions as a function of energy. The ground states are not included. The solid lines show the present work, and the data points are taken from Gu (2003).

Current usage metrics show cumulative count of Article Views (full-text article views including HTML views, PDF and ePub downloads, according to the available data) and Abstracts Views on Vision4Press platform.

Data correspond to usage on the plateform after 2015. The current usage metrics is available 48-96 hours after online publication and is updated daily on week days.

Initial download of the metrics may take a while.