Free Access

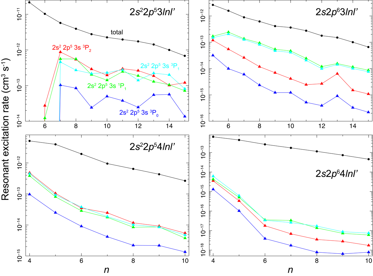
Fig. 2.

image

Resonant excitation rate coefficients for Fe XVII at an energy of 0.4 keV as a function of principle quantum number n. The four panels plot the resonances through four main autoionizing Fe XVI states: 2s22p53lnl′, 2s2p63lnl′, 2s22p54lnl′, and 2s2p64lnl′. The autoionization into the lowest four excited states of Fe XVII are highlighted with four different colors.

Current usage metrics show cumulative count of Article Views (full-text article views including HTML views, PDF and ePub downloads, according to the available data) and Abstracts Views on Vision4Press platform.

Data correspond to usage on the plateform after 2015. The current usage metrics is available 48-96 hours after online publication and is updated daily on week days.

Initial download of the metrics may take a while.