Free Access

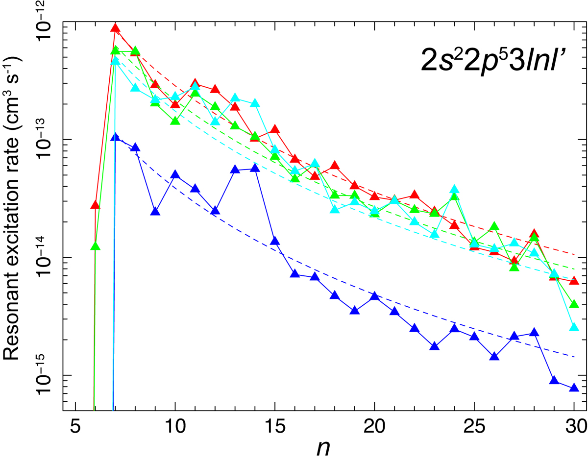
Fig. 3.

image

Resonant excitation rate coefficient of the lowest four excited states of Fe XVII through Fe XVI states 2s22p53lnl′ at 0.4 keV, as a function of principle quantum number n up to 30. The dashed lines show the scaling functions for estimating the contribution from the high-n states.

Current usage metrics show cumulative count of Article Views (full-text article views including HTML views, PDF and ePub downloads, according to the available data) and Abstracts Views on Vision4Press platform.

Data correspond to usage on the plateform after 2015. The current usage metrics is available 48-96 hours after online publication and is updated daily on week days.

Initial download of the metrics may take a while.