Free Access

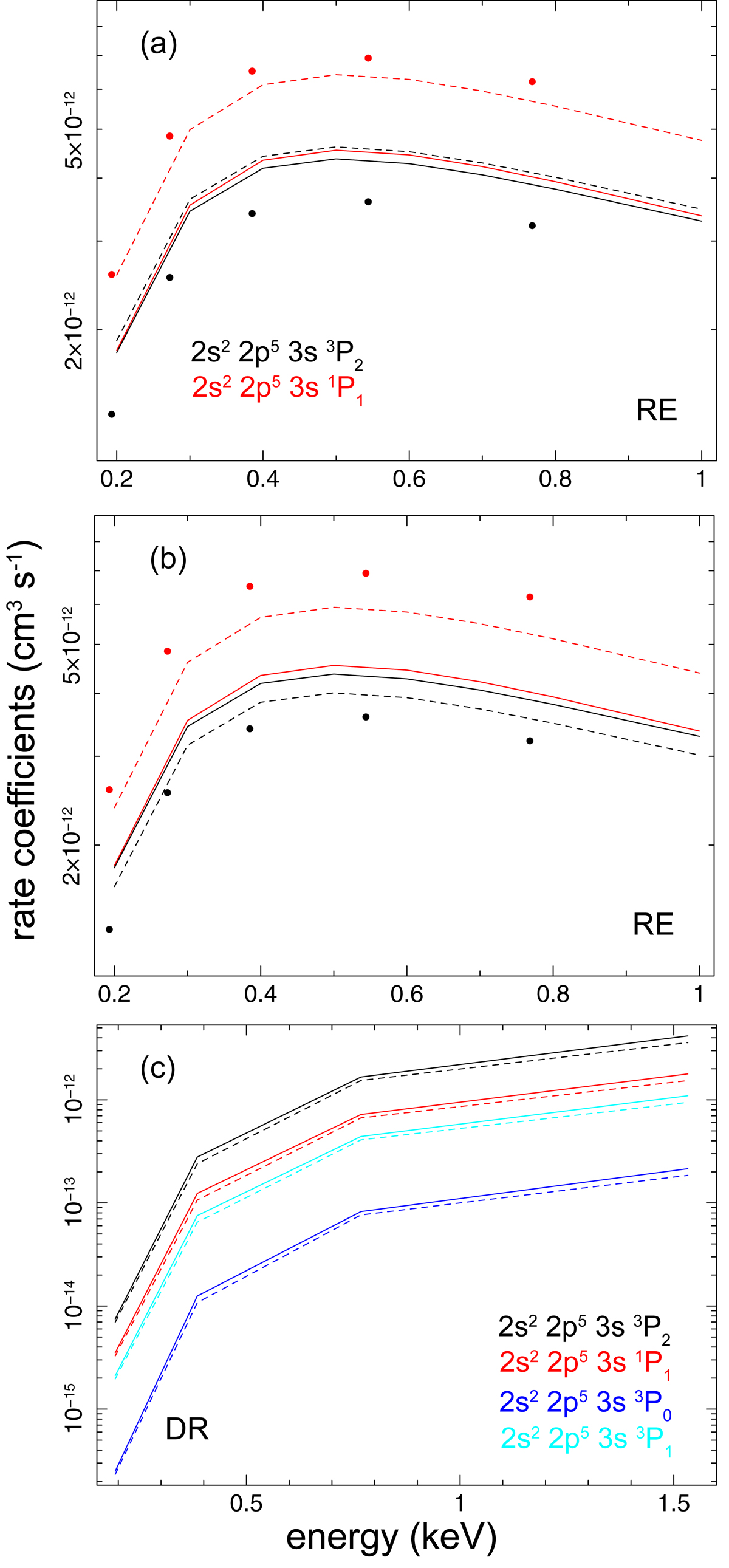
Fig. 9.

image

Comparison of the G03 and the present calculations. Panel a: Fe XVII resonant excitation rate coefficients for two low-lying levels, calculated with FAC version 1.1.4 (solid) and version 1.0 (dashed). The G03 results are shown in data points. Panel b: Fe XVII resonant excitation rates of the two levels, obtained with a full calculation with FAC version 1.1.4 (solid) and with a l-limited calculation with FAC version 1.0 (dashed). The latter can be compared directly with the G03 data points. Panel c: Fe XVII dielectronic recombination rates for four low-lying levels obtained with the ionization concentration data of Urdampilleta et al. (2017; solid) and those from G03 (dashed).

Current usage metrics show cumulative count of Article Views (full-text article views including HTML views, PDF and ePub downloads, according to the available data) and Abstracts Views on Vision4Press platform.

Data correspond to usage on the plateform after 2015. The current usage metrics is available 48-96 hours after online publication and is updated daily on week days.

Initial download of the metrics may take a while.