Free Access

This article has an erratum: [https://doi.org/10.1051/0004-6361/202449183e]


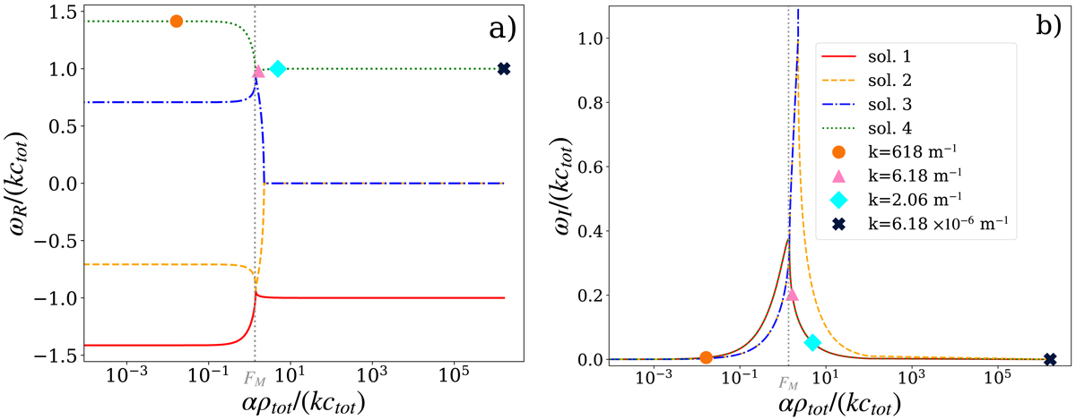
Fig. 1.

image

Solutions of the dispersion relation, Eq. (31), for the acoustic wave case. Left and right panels present the real and imaginary parts of the dimensionless wave frequency ω, respectively, as functions of the dimensionless wavenumber k. The axes are scaled in nondimensional units E and F, defined in Eq. (32) for better visualization. Four solutions are marked with different colors and line styles: solid red for solution 1, orange dashed for solution 2, blue dot-dashed for solution 3, and green dotted for solution 4. We note that solutions 1 and 4 have the same imaginary parts and are superposed in the right-hand panel. Solutions 2 and 3 have the same real part equal to zero for large α/k and are also superimposed on top of one another. The values of k for which we compare the analytical and numerical solution using the values of ω, corresponding to solution 4 (green dots), are marked in the panels: orange circle (k = 618 m−1), pink triangle (k = 6.18 m−1), cyan diamond (k = 2.06 m−1), and black “X” (k = 6.18 × 10−6 m−1).

Current usage metrics show cumulative count of Article Views (full-text article views including HTML views, PDF and ePub downloads, according to the available data) and Abstracts Views on Vision4Press platform.

Data correspond to usage on the plateform after 2015. The current usage metrics is available 48-96 hours after online publication and is updated daily on week days.

Initial download of the metrics may take a while.