Free Access

This article has an erratum: [https://doi.org/10.1051/0004-6361/202449183e]


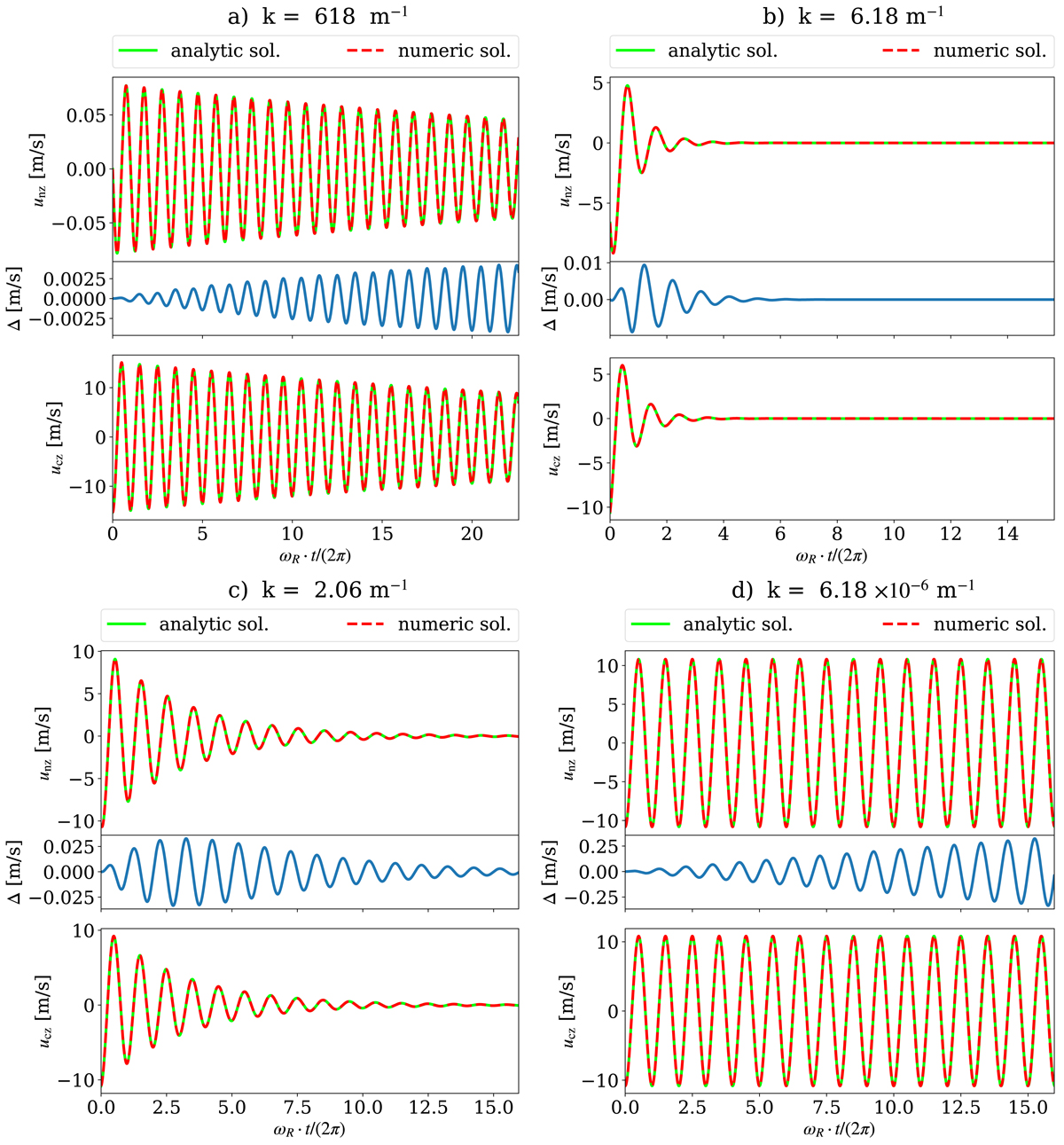
Fig. 3.

image

Simulations of acoustic wave propagation in a homogeneous plasma. Numerically (red dashed line) and analytically (green solid line) calculated time evolution of the velocity of neutrals and charges as a function of time. Below the panels showing the velocity of neutrals, the difference (Δ) between the numerical solution and the analytical solution for unz is given. Time is measured in units of the wave period, 2π/ωR. Panels from left to right and from top to bottom: simulations for different values of the wavenumber k, as indicated in the legend of Fig. 1.

Current usage metrics show cumulative count of Article Views (full-text article views including HTML views, PDF and ePub downloads, according to the available data) and Abstracts Views on Vision4Press platform.

Data correspond to usage on the plateform after 2015. The current usage metrics is available 48-96 hours after online publication and is updated daily on week days.

Initial download of the metrics may take a while.